图的概念
图的定义
图(Graph)G由顶点(Vertex)集合V(G)和边(Edge)集合E(G)构成。
 
     
      
       
        
         G
        
        
         =
        
        
         (
        
        
         V
        
        
         ,
        
        
         E
        
        
         )
        
       
       
         G = (V,E) 
       
      
     G=(V,E)

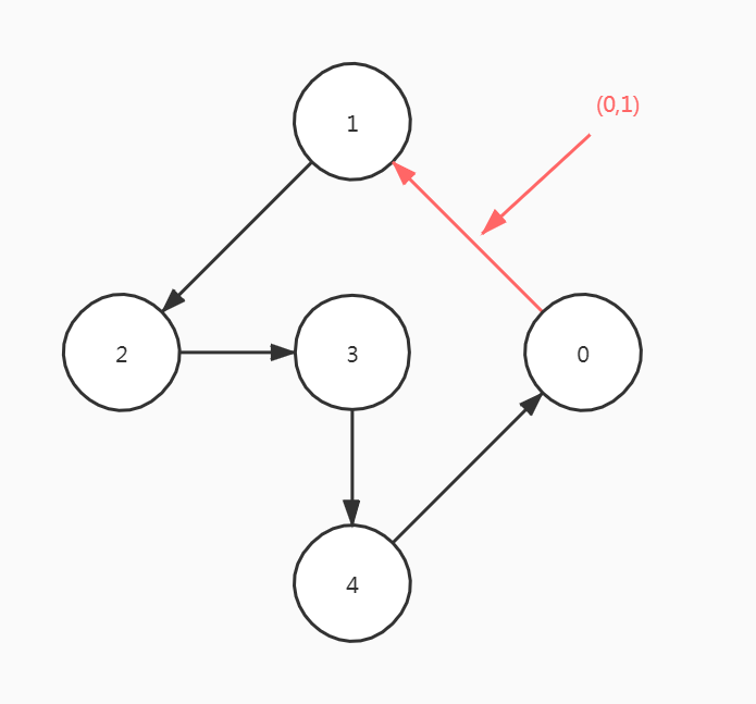
 在图G中,如果代表边的顶点对是无序的,则称G为无向图。用圆括号序偶表示无向边
(0,1)也可以写成(1,0)

 如果表示边的顶点对是有序的,则称G为有向图。用尖括号序偶表示有向边(又称弧 Arc)
不能写成<1,0>
图的基本术语
端点和邻接点
无向图
若存在一条边(i, j),则称顶点i和顶点j为这条边的两个端点,它们互为邻接点(Adjacent),边( i, j )依附(incident)于顶点i和顶点j。
有向图
若存在一条边<i, j>,则称顶点i为起始端点,简称起点,顶点j为终止端点,简称终点,它们互为邻接点
顶点的度、入度和出度
无向图
以顶点i为端点的边数称为该顶点的度(Degree)
  如图,顶点1的度为3
如图,顶点1的度为3
有向图
以顶点i为终点的入边的数目,称为该顶点的入度(InDegree)。
以顶点i为起点的出边的数目,称为该顶点的出度(OutDegree)。
一个顶点的入度和出度的和为该顶点的度。

 如图
- 顶点0的入度为1
- 顶点0的出度为2
- 顶点0的度为1+2=3
若一个图中有n个顶点和e条边,每个顶点的度为di(0 ≤ i ≤ n-1)
 
     
      
       
        
         e
        
        
         =
        
        
         
          1
         
         
          2
         
        
        
         
          
           ∑
          
          
           
            i
           
           
            =
           
           
            0
           
          
          
           
            n
           
           
            −
           
           
            1
           
          
         
         
          
           d
          
          
           i
          
         
        
       
       
         e= \frac 1 2\displaystyle\sum^{n-1}_{i=0}d_i 
       
      
     e=21i=0∑n−1di
完全图
无向图

 每两个顶点之间都存在一条边,称为完全无向图,包含有
 
     
      
       
        
         
          
           n
          
          
           (
          
          
           n
          
          
           −
          
          
           1
          
          
           )
          
         
         
          2
         
        
        
         条
        
        
         边
        
       
       
         \frac {n(n-1)} 2 条边 
       
      
     2n(n−1)条边
有向图

 每两个顶点之间都存在着方向相反的两条边,称为完全有向图,包含有
n ( n − 1 ) 条 边 n(n-1)条边 n(n−1)条边
稠密图和稀疏图
当一个图接近完全图时,则称为稠密图
相反,当一个图含有较少的边数
 
     
      
       
        
         e
        
        
         <
        
        
         <
        
        
         n
        
        
         (
        
        
         n
        
        
         −
        
        
         1
        
        
         )
        
       
       
         e \lt \lt n(n-1) 
       
      
     e<<n(n−1)
 时,则称为稀疏图
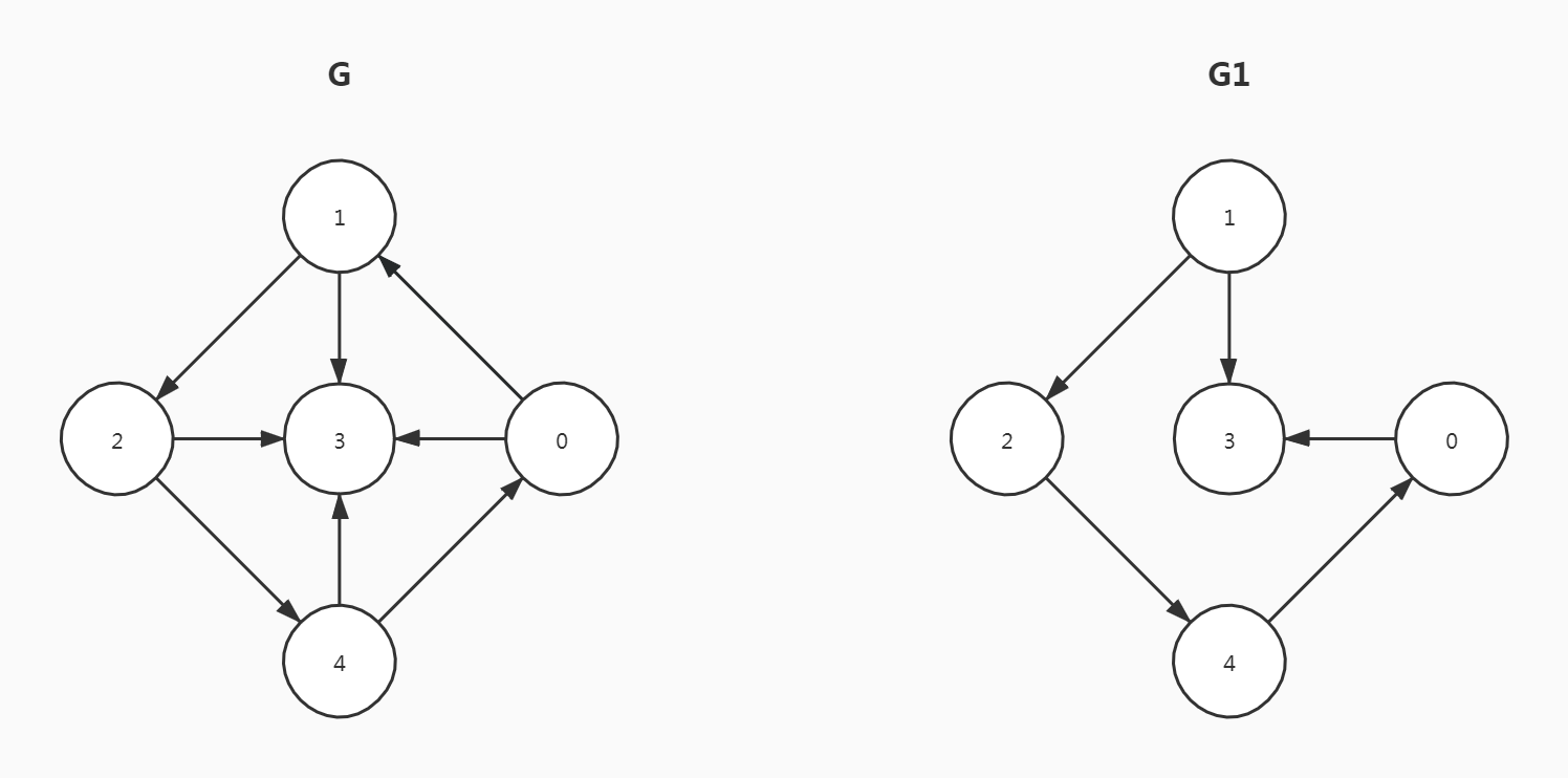
子图
设有两个图
 
     
      
       
        
         G
        
        
         =
        
        
         (
        
        
         V
        
        
         ,
        
        
         E
        
        
         )
        
        
        
         
          G
         
         
          ′
         
        
        
         =
        
        
         (
        
        
         
          V
         
         
          ′
         
        
        
         ,
        
        
         
          E
         
         
          ′
         
        
        
         )
        
       
       
         G=(V,E)\\ G\rq=(V\rq,E\rq) 
       
      
     G=(V,E)G′=(V′,E′)
 若
 
     
      
       
        
         
          V
         
         
          ′
         
        
        
         ⊆
        
        
         V
        
        
         且
        
        
         
          E
         
         
          ′
         
        
        
         ⊆
        
        
         E
        
       
       
         V\rq \sube V 且 E\rq \sube E 
       
      
     V′⊆V且E′⊆E
 则称G`是G的子图。

 下面这个图不是G的子图
 
路径和路径长度
在一个图
 
     
      
       
        
         G
        
        
         =
        
        
         (
        
        
         V
        
        
         ,
        
        
         E
        
        
         )
        
       
       
         G = ( V, E ) 
       
      
     G=(V,E)
 从顶点i到顶点j的一条路径(Path)是一个顶点序列
 
     
      
       
        
         (
        
        
         
          v
         
         
          i
         
        
        
         ,
        
        
         
          v
         
         
          
           i
          
          
           1
          
         
        
        
         ,
        
        
         
          v
         
         
          
           i
          
          
           2
          
         
        
        
         ,
        
        
         .
        
        
         .
        
        
         .
        
        
         ,
        
        
         
          v
         
         
          
           i
          
          
           m
          
         
        
        
         ,
        
        
         
          v
         
         
          j
         
        
        
         )
        
       
       
         ( v_i, v_{i1},v_{i2},...,v_{im},v_j) 
       
      
     (vi,vi1,vi2,...,vim,vj)
 其中所有的
 
     
      
       
        
         (
        
        
         
          i
         
         
          x
         
        
        
         ,
        
        
         
          i
         
         
          y
         
        
        
         )
        
        
         ∈
        
        
         E
        
        
         (
        
        
         G
        
        
         )
        
        
         或
        
        
         <
        
        
         
          i
         
         
          x
         
        
        
         ,
        
        
         
          i
         
         
          y
         
        
        
         >
        
        
         ∈
        
        
         E
        
        
         (
        
        
         G
        
        
         )
        
       
       
         ( i_x, i_y ) \in E(G) 或 < i_x, i_y > \in E(G) 
       
      
     (ix,iy)∈E(G)或<ix,iy>∈E(G)
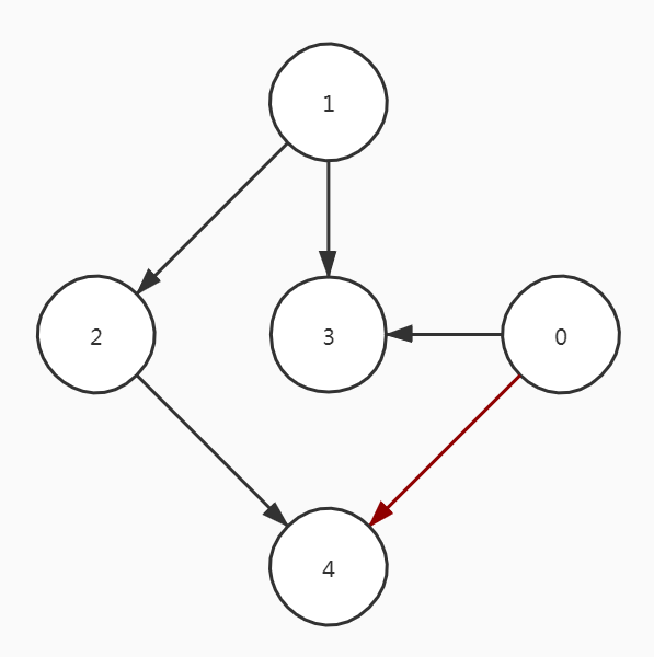
路径长度是指一条路径上经过的边的数目。
若一条路径上除开始点和结束点可以相同外,其余顶点均不相同,则称此路径为简单路径。
 
 如图, 由v0到v1的一条简单路径,长度为2
回路(环)
若一条路径上的开始点与结束点为同一个顶点,则此路径被称为回路或环(Cycle)。开始点与结束点相同的简单路径被称为简单回路或简单环。

 如图,红色路径即为一条简单回路。
连通、连通图和连通分量
无向图
在无向图中,若从顶点i到顶点j有路径,则称顶点i和j是连通的。
若图中任意两个顶点都连通,则称为连通图(Connected Graph),否则称为非连通图。
无向图G中的极大连通子图称为G的连通分量。显然,任何连通图的连通分量只有一个,即本身,而非连通图有多个连通分量。
一个连通分量
- 要是子图
- 这个子图要是连通的
- 这个连通子图含有极大顶点数
- 具有极大顶点数的连通子图包含依附于这些顶点的所有边

有向图
若从顶点i到顶点j有路径,则称从顶点i和顶点j是连通的
若图G中的任意两个顶点i和j都连通,即从顶点i到j和从顶点j到i都存在路径,则称图G是强连通图

 有向图G中的极大强连通子图称为G的强连通分量。显然,强连通图只有一个强连通分量,即本身。非强连通图有多个强连通分量。
在一个非强连通图中找强连通分量的方法
- 在图中找有向环
- 扩展该有向环
 如果某个顶点到该环中任一顶点有路径,并且该环中任一顶点到这个顶点也有路径,则加入这个顶点。

 红色标记即为一个有向环,图中3号顶点满足条件,加入该环,而5号顶点不满足条件,因为3可以到5,但5不能到3。同理,0可以到4但4不可以到0。所以该图有三个强连通分量。
权和网
图中每一条边都可以附带有一个对应的数值,这种与边相关的数值称为权(Weight)。权可以表示从一个顶点到另一个顶点的距离或花费的代价。
 
 边上带有权的图称为带权图,也称作网(Network)

 
                
            
         浙公网安备 33010602011771号
浙公网安备 33010602011771号