最小生成树 Prim
最小生成树
Minimum Spanning Tree
最小生成树这个词包含三部分信息
- 树
- 生成树
- 最小
什么是树?
- 树可以看做是一种特殊的图,树没有回路
- 有
n个顶点的树一定有n-1条边
什么是生成树?
一个连通图的生成树是一个极小连通子图
- 生成树包含了图中全部
n个顶点 - 生成树只有足以构成一棵树的
n-1条边
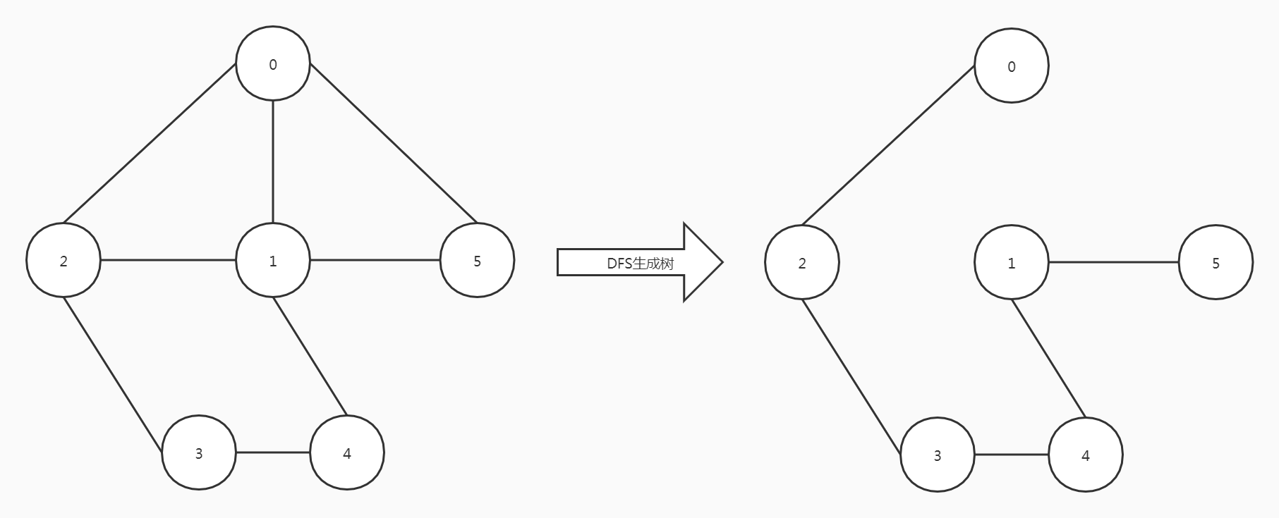
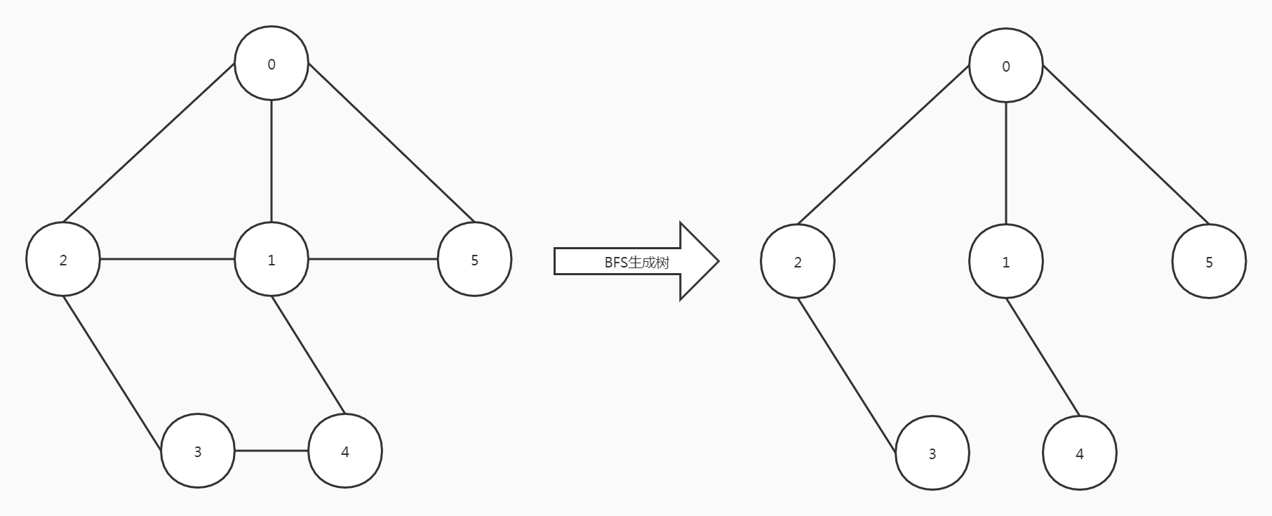
如何得到生成树?
可以通过遍历来得到生成树


一个图的生成树不是唯一的,可以有多种形式

有
n-1条边不一定是生成树,如上图右下角所示。
生成树的性质
- 向生成树中任意添加一条边一定构成回路。
- 一个图若存在对应的最小生成树,则此图为连通图,反之也成立。
什么是最小?
对于一个带权图来说,权值之和最小的生成树就是最小生成树
最小生成树的实际问题

如上图所示,图中一个顶点代表一个村庄,除少数被山川阻隔的路线,村庄之间的距离都以带权边的形式给出,要求你设计一个造价最低的修路方案,把所有的村庄连通。
既然是造价最低,那肯定不是修成像城市那种网状结构。很自然的我们想到了树形结构,当然线性结构算树形结构的一种特殊情况。用计算机来求解,就是图的最小生成树问题这一类问题。
Prim算法
Prim算法的思路是:从一个根节点开始,让这棵小树慢慢长大。
Prim算法是一种典型的贪心算法
什么是贪?
每一步都要是最好的
什么是好?
对于修路的问题而言,当然是选到权重最小的边
贪心得有度,贪心是有约束条件
约束条件
- 只能选
n-1条边 - 不能形成回路
如果选了这条边就会形成回路,即使这条边的权重最小也不能选

从v0开始
| 可用的备选边 | 权重 |
|---|---|
| (v0, v1) | 10 |
| (v0, v5) | 11 |
选择权重较小的(v0, v1)

| 可用的备选边 | 权重 |
|---|---|
| (v1, v2) | 18 |
| (v1, v8) | 12 |
| (v1, v6) | 16 |
| (v0, v5) | 11 |
选择(v0, v5)

选择(v1, v8)

选择(v2, v8)


这里需要注意,选择了(v1, v2)之后会形成环,(v1, v2)不能选择。
同理,(v5, v6)也不能选择。

选择(v7, v4)

选择(v7, v3),最小生成树建立完成
权
重
和
=
10
+
11
+
12
+
8
+
16
+
19
+
7
+
16
=
99
权重和 = 10 + 11 + 12 + 8 +16 + 19 + 7 + 16 = 99
权重和=10+11+12+8+16+19+7+16=99
下面来看代码实现
建立邻接矩阵
typedef int VertexType;
typedef short ArcType;
以单字有符号数能取到的最大值32767为∞
输入
9
0 1 2 3 4 5 6 7 8
0 10 32767 32767 32767 11 32767 32767 32767
10 0 18 32767 32767 32767 16 32767 12
32767 18 0 22 32767 32767 32767 32767 8
32767 32767 22 0 22 32767 24 16 21
32767 32767 32767 22 0 26 32767 7 32767
11 32767 32767 32767 26 0 17 32767 32767
32767 16 32767 24 32767 17 0 19 32767
32767 32767 32767 16 7 32767 19 0 32767
32767 12 8 21 32767 32767 32767 32767 0
void MST_Prim(mgraph* g)
{
ArcType* lowcost; //存储权值的数组
lowcost = new ArcType[g->num_vexs];
lowcost[0] = 0; //以v0作为小树的根节点
int* adjvex;
adjvex = new int[g->num_vexs];
adjvex[0] = 0;
for (int i = 1; i < g->num_vexs; i++) {
lowcost[i] = g->arc[0][i]; //将那些和v0邻接的边的权值放进数组里 (不邻接看成邻接但距离无穷大)
adjvex[i] = 0; //初始化这棵树只有v0一个节点
}
int min; //一定范围内的最小权值
int min_k; //存储最小权值的顶点下标
const ArcType Inf = 32767; //权值的无穷大
for (int i = 1; i < g->num_vexs; i++) {
min = Inf;
min_k = 0;
for (int j = 1; j < g->num_vexs; j++) {
//在lowcost里面找到权重最小的边
if (lowcost[j] != 0 && lowcost[j] < min) { //lowcost的元素为0则表示该顶点已纳入MST中
min = lowcost[j];
min_k = j;
}
}
cout << adjvex[min_k] << ' ' << min_k << endl;
lowcost[min_k] = 0; //将该顶点纳入MST中
for (int j = 1; j < g->num_vexs; j++) {
if (lowcost[j] != 0 && g->arc[min_k][j] < lowcost[j]) {
lowcost[j] = g->arc[min_k][j]; //较小的权值存入lowcost相应位置
adjvex[j] = min_k; //这条较小权值的边的其中一个顶点, 在MST中已有的顶点, 存入adjvex
}
}
//把lowcost和adjvex准备好后, 进入下一轮循环后遍历lowcost输出顶点对
}
delete[] adjvex;
delete[] lowcost;
}
算法的时间复杂度为O(n^2)
输出
0 1
0 5
1 8
8 2
1 6
6 7
7 4
7 3

浙公网安备 33010602011771号