上海理工大学第二届“联想杯”全国程序设计邀请赛 J.JXC&Jesus(线性筛)
- 题目:JXC&Jesus
- 解析:首先此题的时间复杂度要求是O(n),不过官方题解还是不太懂,先把这种O(n*logn)的写一下(一样可以A掉题目,数据问题而已);
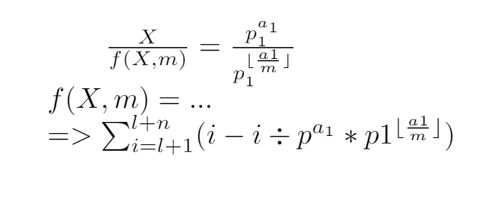
从X / f(x, m)可以得推出f(x, m)的值(一定好好学latex...),最后得到结果

根据题目所给的式子发现,最终式子里需要求出组成x的第一个质数并统计出其指数个数,可以在线性筛筛素数的过程记录组成x的第一个质数是谁,若x为素数,则p1 = x, a1 = 1;否则在线性筛的过程中,实际上筛出的合数都是由其最小的质数和某个数将其筛出,也就是构成i * prime[j]的最小质数为prime[j],然后再用常规操作算出其指数部分即可
- 代码:
#include<bits/stdc++.h>
using namespace std;
typedef long long ll;
const int N = 2e7 + 5;
int n, m, l;
int prime[N], vis[N], cnt = 0, minp[N];
ll res = 0;
ll qpow(ll a, ll x)
{
ll ans = 1;
while(x)
{
if(x & 1) ans = ans * a;
a = a * a;
x >>= 1;
}
return ans;
}
void init()
{
vis[0] = vis[1] = 1;
for(int i = 2; i < N; i++)
{
if(!vis[i])
{
minp[i] = i; //最小的质数为自己本身
prime[++cnt] = i;
}
for(int j = 1; j <= cnt && i * prime[j] < N; j++)
{
vis[i * prime[j]] = 1;
minp[i * prime[j]] = prime[j]; //记录组成i * prime[j]的最小的质数
if(i % prime[j] == 0) break;
}
}
}
ll solve(ll x)
{
ll num = 0, minPrime = minp[x], i = x;
if(minPrime == x) num = 1;
else
{
while(x % minPrime == 0)
{
x /= minPrime;
num ++; //统计a1(指数)的个数
}
}
ll ans = i / qpow(minPrime, num) * qpow(minPrime, num / (ll)m);
return ans;
}
int main()
{
init();
cin >> n >> m >> l;
for(int i = l + 1; i <= l + n; i++)
res += i - solve((ll)i);
cout << res << endl;
return 0;
}

浙公网安备 33010602011771号