C语言实验报告四
C程序设计实验报告
实验项目:5.3.1-2、5.3.2-2、5.3.4、5.3.5-1、5.3.5-2、5.3.5-3、九九乘法表、奥数趣解
姓名:林顺显
实验地点:家里
实验时间:2020年4月9日
一、实验目的与要求
1、熟练地掌握while,do_while及for语句实现循环的方法。
2、了解3种循环语句的区别和转换、各自的适应性、循环嵌套的使用。
3、掌握如何在循环语句种使用break,continue语句,改变程序流程。
4、掌握在程序设计种用循环的方法实现各种算法。
实验项目:
5.3.1练习2 求数列的前n项和
5.3.2练习2 求水仙花数
5.3.4 十进制转换
5.3.5练习1 百马百担问题
5.3.5练习2 求等差数列
5.3.5练习3 食品分配问题
九九乘法表的实现
二、实验内容
1、实验练习:5.3.1-2
1问题的简单描述:编写程序,求数列1,-3!,5!,-7!,..,(-1)^(n-1)×(2n-1)!前n项的和。n的值由键盘输人。
2实验代码:
#include<stdio.h> main() { int n,i,j,sign=1; float fac ,sum; printf("Please input scoresn:"); scanf("%d",&n); sum=0.0; for(i=1;i<=2*n-1;i=i+2) { fac=1.0; { for(j=1;j<=i;j++) fac=fac*j; } sum=sum+fac*sign; sign=-sign; } printf("sum=%.0f\n",sum); }
3问题分析:一开始写不出来,后面再加一个for循环就可以了。
2、实验练习:5.3.2-2
1问题的简单描述:求水仙花数。
2实验代码:
#include<stdio.h> main() { int x,y,z; int k=100; while(x<=999) { x=k/100; y=(k/10)%10; z=k%10; if(k==x*x*x+y*y*y+z*z*z) printf("%d\n",k) ; k++; } }
3问题分析:无。
3、实验练习:5.3.4
1问题的简单描述:输入四个字符型数字,并把其转换为十进制整数后显示出来。
2实验代码:
#include<stdio.h> main() { char c; int k, data; data=0; for(k=0;k<4;k++) { while(k<4) { c=getchar(); if(c>='0'&&c<='9') break; } if(k==0) data+=(c-'0')*1000; if(k==1) data+=(c-'0')*100; if(k==2) data+=(c-'0')*10; if(k==3) data+=(c-'0'); } printf("data=%d",data); }
3问题分析:本题是将4个字符型数字,转化为十进制整数即可。
4、实验练习:5.3.5-1
1问题的简单描述:有100匹马,要驮100担货物。其中,1匹大马可以驮3担货物,1匹中可以驮两担货物,两匹小马可以驮1担货物,求所需要的大马、中马和小马可以有多少种组合。
2实验代码:
#include<stdio.h>
main()
{
int m,n,k;/*m,n,k分别表示大马,中马,小马的匹数*/
int sum=0;
printf("各种驮法如下:\n") ;
for(m=1;m<=100;m++)
for(n=1;n<=100-m;n++)
{
k=100-m-n;
if((k%2==0)&&((3*m+2*n+k/2)==100))
{
printf("大马%3d匹;中马%3d匹;小马%3d匹.\n",m,n,k);
sum++;
}
}
printf("共有%d种驮法.\n",sum);
}
3问题分析:无
5、实验练习:5.3.5-2
1问题的简单描述:
2实验代码:有一正整数等差数列,已知该数列前四项之和等于26,前四项之积等于880,求该等差数列前六项的值及该数列前六项的和。
#include<stdio.h>
main()
{
int a,b,c,d,i,sum=0;
for(a=1;a<=26;a++)
for(d=1;d<=26;d++)
{
b=4*a+6*d;
c=a*(a+d)*(a+d+d)*(a+d+d+d);
if((b==26)&&(c==880))
{
printf("数列的初值为a=%d,差值为d=%d",a,d);
printf("\n数列的前6项的值为:");
for(i=0;i<6;i++)
{
printf(" %d",a+i*d);
sum=sum+(a+i*d);
}
printf("\n ");
}
}
printf("\n数列前6项的和:%d\n",sum);
}
3问题分析:要正确使用等差数列的和的计算公式以及如何表示四列之积
6、实验练习:5.3.5-3
1问题的简单描述:有30个学生一起买小吃,共花费50元,其中,每个大学生花3元,每个中学生花2元,每个小学生花1元,求大中小学生的人数分配共有多少种不同的组合?
2实验代码:
#include<stdio.h>
main()
{
int x,y,z,sum;
sum=0;
for(x=1;x<30;x++)
{
for(y=1;y<30;y++)
{
z=30-x-y;
if(3*x+2*y+z==50)
{
printf("大学生%3d\t中学生%3d\t小学生%3d\n",x,y,z);
sum=sum+1;
}
}
}
printf("共有%d种组合。\n",sum);
}
3问题分析:无
三、项目实训:九九乘法表/帮帮小朋友(奥数趣解)
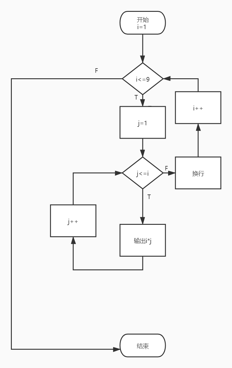
(一)九九乘法表
1、设计思路
使用for循环来控制行列,在循环语句中插入计算公式即可
2、流程图

3.代码:
#include<stdio.h> int main() { int i,j,n; for(i=1;i<=9;i++) { for(j=1;j<=i;j++) { n=i*j; printf("%d*%d=%2d\t",i,j,n); } printf("\n"); } return 0; }
四、实验小结
本次实验课,循环实验的代码可以通过书本的提示自己完成,但对于课后布置的代码,却无从下手。还是学的太浅,有待进步。


浙公网安备 33010602011771号