P5659 [CSP-S 2019] 树上的数 题解
P5659 [CSP-S 2019] 树上的数 题解
题意
给定一棵树和每个节点上的初始数字,删除一条边的效果是交换被这条边连接的两个节点上的数字交换。
设 \(p_i\) 表示数字 \(i\) 在哪个节点,要求合理安排删除 \(n-1\) 条边的顺序,使得排列 \(p\) 字典序最小,
$n \leq 2000n≤2000 $
分析
对于这个十分友善( 毒瘤 )的 不可做 题,正解这种东西肯定不是正常人不能想出来的,于是我们先考虑暴力
Part1. \(n \leq 10\)
没脑子的傻暴力, 不解释
Part2. 菊花图
你看到数据范围中“ 存在度数为 \(n - 1\) 的节点”, 这使你 充满信心 有了非分之想 :
首先来一张菊花图 :

加入我们按顺序删除 1->2 的边, 1 ->3 的边, ……, 1 -> 7 的边。
你会惊奇的发现,点的移动变成了 1 -> 2, 2 -> 3, ……, 7 -> 1
他的移动其实就是把数字向后移了一位,所以我们可以得到一个简单的贪心策略 :
先枚举点上的数字所在的点 , 然后找下一个点 , 在枚举的过程中我们维护一个边的并查集 , 用来维护他是否已经被加入, 预计得分 \(25pts\)。
Part3. 链
你看到数据范围中 “树的形态是一条 链 ”, 这使你 充满信心 又有了非分之想,
咱再来一条链

我们考虑一个点上的数字想到另一个点上需要考虑的东西 :
如果节点 1 上的数字想到节点 2 , 那我我必然先删掉边 1 -> 2 , 再删掉2 -> 3, 这就会是我们考虑另一个问题 :
删边的顺序问题 ,于是我们就又有了一个贪心策略 :
- 枚举每一个数字 , 在合法的情况下找到字典序最小的点 ,作为这个节点的最终目标节点。
- 当我们选定一个节点是我们一定会产生一系列先后条件的限制, 然后去维护(冰茶姬什么的乱搞就可以,
反正是骗分)
Part.fin 正解
首先整棵树

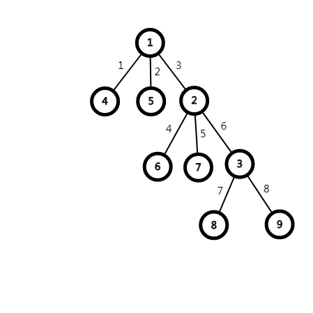
考虑我们 \(Part3\) 的乱搞,我们同样可以搞出一堆小的链,(就是出世界颠倒目标节点的链),然后我们在结合 \(Part2\) 的乱搞,我们可以发现,对于点到他的目标节点,我们有如下限制 (以节点1->节点3为例):
-
\(3\) 号边必须是 \(1\) 号点的连边里优先级最高的。
-
\(6\) 号边必须是 \(3\) 号点连边中优先级最小的
-
\(6\) 号边的优先级必须紧挨着 \(3\) 号边的优先级
于是我们就又可以用冰茶姬们维护连边了吼吼吼~
Part.EX 代码实现
#include<bits/stdc++.h>
//#define int long long
//#define rint register int
using namespace std;
const int maxn = 1e5 + 5,mod = 1e9 + 7;
namespace IOS {
inline int read() {
char c=getchar(),f=0;int t=0;
for(;c<'0'||c>'9';c=getchar()) if(!(c^45)) f=1;
for(;c>='0'&&c<='9';c=getchar()) t=(t<<1)+(t<<3)+(c^48);
return f?-t:t;
}
inline __int128 read_() {
char c=getchar(),f=0;int t=0;
for(;c<'0'||c>'9';c=getchar()) if(!(c^45)) f=1;
for(;c>='0'&&c<='9';c=getchar()) t=(t<<1)+(t<<3)+(c^48);
return f?-t:t;
}
inline void write(int num) {
if(num < 0) {
putchar('-');
num = -num;
}
if(num > 9) write(num / 10);
putchar(num % 10 + '0');
}
inline void write_(__int128 num) {
if(num < 0) {
putchar('-');
num = -num;
}
if(num > 9) write_(num / 10);
putchar(num % 10 + '0');
}
};
using namespace IOS;
int T, n, tot, fin;
int in[maxn], out[maxn], fa[maxn];
int siz[maxn];
int poi[maxn], du[maxn];
int ver[maxn * 5], nxt[maxn * 5], head[maxn];
inline void add(int x, int y) {
ver[++tot] = y;
nxt[tot] = head[x];
head[x] = tot;
}
inline void allzero() {
memset(head, 0, sizeof head);
memset(du, 0, sizeof du);
memset(in, 0, sizeof in);
memset(out, 0, sizeof out);
tot = 0;
}
inline int find(int x) {
return fa[x] == x ? x : fa[x] = find(fa[x]);
}
inline bool judge(int x, int y, int li) {
if(in[y] || out[x]) return false;
int fx = find(x), fy = find(y);
if(fx == fy && siz[fx] != li) return false;
return true;
}
void dfs1(int now, int fro) {
if(fro != now && judge(fro, now, du[now] + 1)) fin = min(fin, now); //检查合法性
for(int i = head[now], y; i; i = nxt[i]) {
y = ver[i];
if(i == fro) continue;
if(judge(fro, i, du[now] + 1)) {
dfs1(y, i ^ 1);//^1表示这个变的反向边,便于处理
}
}
}
inline void merge(int x, int y) { // 啥子合并
// 合并的结果就是起点->一堆边->终点
int fx = find(x), fy = find(y);
fa[fx] = fy, siz[fy] += siz[fx];
out[x] = in[y] = true;
}
bool dfs2(int x, int fro, int poi) { // 标记沿途的点 / 边
if(x == poi) {
merge(fro, fin);
return true;
}
for(int i = head[x], y; i; i = nxt[i]) {
y = ver[i];
if(i == fro) continue;
if(dfs2(y, i ^ 1, poi)) {
merge(fro, i);
return true;
}
}
return false;
}
signed main() {
// freopen(".in","r",stdin);
// freopen(".out","w",stdout);
T = read();
while(T--) {
allzero(); // 初始化
n = read();
tot = (n + 1) / 2 * 2 + 1; // 我们给边建成虚点,方便冰茶姬
// 这是在为点提供预留的空间
for(int i = 1; i <= n; ++ i) poi[i] = read();
for(int i = 1, u, v; i < n; ++ i) {
u = read(), v = read();
add(u, v), add(v, u);
du[u] ++, du[v] ++;
}
for(int i = 1; i <= tot; ++ i) fa[i] = i, siz[i] = 1; // 并查集初始化
for(int i = 1; i <= n; ++ i) {
int x = poi[i];
fin = n + 1; // 寻找最终节点(只要能到达那个地方)
dfs1(x, x); // 开始寻找
dfs2(x, x, fin); //一定要到达那个地方
cout << fin << " ";
}
cout << endl;
}
// fclose(stdin);fclose(stdout);
}

浙公网安备 33010602011771号