机器学习--支持向量机
-
线性可分SVM
- hard margin maximization
-
线性SVM
- soft margin maximization
- 非线性SVM
- kernel function
线性可分SVM
我们先从一个便于理解的二维平面开始,对两类样本进行分类,可以看出至少存在一条线将这两类样本分开,我们要找的模型就是找到这样一条线对数据进行分类,但有时,可能某一个样本,例如,右侧有一个“-”,我们的分割线依然有效,依然是线性可分的。图片来自周志华老师的西瓜书。

图(1)
为了描述方便,我从其他网站找了如下的图,

图(2)a 图(2)b
为什么叫support vector machine,这里先简单一提,后面原理会详细说明,看上图蓝色样本中有一个样本点,红色样本中有两个样本点在虚线上,这三个样本点确定了支撑面,所以这三个样本点就是支撑向量。令这三个点到分割线的距离分别是d1,d2,d3,由数学知识,d1=d2=d3=d,由图可以看出这是距离分割面的最小距离,其他样本点的距离都比这个d大,我们把这个margin称为hard margin,与hard margin相对的就是soft margin ,假如,如图上红色分割线下方有一个我手动画上的一个红色样本点,而我们依然选择这条红色分割线做为我们的分割线,显然,这个样本点距离分割线的距离比刚才的d要小,但我们依然选择刚才的三个样本点作为我们的support vector,现在的margin就是soft margin
线性可分SVM的原理和目标函数
首先,看下面的直线
,由函数与直线 的关系,该直线的所在函数为
,写成向量就是
,若将
,其中,w就是该直线的法向量,扩展到n维就是
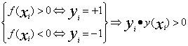
,是一个超平面,若是大于零,表明样本点位于方向量方向,小于零就在法向量的负方向。

图(3)
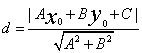
直线,由解析几何知识,我们知道点(x0,y0)到直线Ax+By+C=0的距离为
,假如现在只考虑正方向,则
,同样,扩展到n维,有一个样本点到分割线的距离就是,
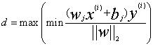
这里w是向量,以下都是这样,不再说明,那么,哪一个是最小的呢。找到最近的样本点,当这个最近的样本点的距离最大时,找到的这条线就是我们要找的分割线,所以对于参数wj,bj,我们要找到这样的wj,bi使得
,
下面,我们把数据做一个规定,方便我们推导出目标函数
1.训练集上有n个样本点![]()
2.
表示x的映射后的特征(例如:),那么
,这个
我们可以事先选定
那么根据以上设定有:
3.我们的目标函数就变成了
,这个式子太过复杂,再看,上面的图(2)b中的超平面,我们总是可以通过放缩使得,分割面的边界线上函数的值为1和-1,因为是放缩,并不会影响最终求得的w,b的值,那么2.中的式子就变成了
,我们的目标函数就简化成了
,而前面的式子就成了约束条件。
4.我们最终要求的就是
,这是一个带约束条件的求最值的问题,由高数知识,可以使用拉格朗日乘子法
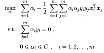
最终变成求对偶函数
,则原问题与对偶问题的关系如下
原问题:![]()
对偶问题:![]()
这里说一下,对于任何一个这样的带约束条件的优化问题,总是可以先写出它的拉格朗日函数,然后去求取关于x的最小值,得到对偶函数,然后,在对偶函数上求关于对偶函数的关于乘子的最大值,只是利用对偶函数,求目标函数,不一定相等
对对偶问题的w,b求偏导有
,代入到对偶函数中,就是关于
的函数了,这样对于那些不等于零的
就是support vector,是这些vector确定了分割面,
使用SMO算法求
,关于SMO算法,周志华老师的西瓜书写的很详细,先求出
,再求出b,然后求出分割超平面w*x+b=0,再求出分类决策函数
线性SVM
现实生活中很难确定将数据完全分开的超平面,若样本数据线性不可分,则增加松弛因子,也就就引入上面提到的soft margin,引入一个松弛变量
,约束条件变为
,目标函数为
,则拉格朗日函数为
,分别对
求偏导有
,代入到L函数中,得到对偶函数,
求得最优解
,再求出b,然后得到了分割超平面w*x+b=0,最终求的分类决策树。
损失函数

核函数
并不是所有的样本数据集都是线性可分的,前面就将x映射到
,我们也可以使用核函数,将原始输入空间映射到新的特征空间,进而,将原线性不可分的样本映射到核空间
- 线性核 :

- 多项式核函数:
- 高斯核函数

重点说一高斯核在做什么,看一下核函数个表达式,我们可以这样理解,有一个样本点
,我们假定
是固定的,
位置不固定,那么就是以
为中心做了一个指数衰减,求的是与样本
的相似度,例如,这两个样本点相等的时候,相似度就是1,如果这两个样本点相距无穷远,相似度就是0,

图中,样本点无法做到线性可分,但是,用高斯核函数映射后,对于正例,负例的样本就分开了,分割曲面映射到二维就是分割曲线了,这样,我们就把样本分开了。

浙公网安备 33010602011771号