CS - Unit l Standard Abbreviations
A
AGI(Artificial General Intelligence)
通用人工智能。这一领域主要专注于研制像人一样思考、像人一样从事多种用途的机器。这一单词源于AI,但是由于主流AI研究逐渐走向某一领域的智能化(如机器视觉、语音输入等),因此为了与它们相区分,增加了general。
AIGC(AI Generated Content)
是指利用人工智能技术来生成内容,AIGC也被认为是继UGC(用户生产内容)、PGC(专业生产内容)之后的新型内容生产方式,AI绘画、AI写作等都属于AIGC的分支。
AM (Attention Model)
注意力机制,注意力机制就是对输入权重分配的关注,最开始使用到注意力机制是在编码器-解码器(encoder-decoder)中, 注意力机制通过对编码器所有时间步的隐藏状态做加权平均来得到下一层的输入变量。或者说注意力机制是一种具有对输入分配偏好的通用池化方法(含参数的池化方法)
ANN(Artificial Neural Network)
人工神经网络,是指由大量的处理单元(神经元) 互相连接而形成的复杂网络结构,是对人脑组织结构和运行机制的某种抽象、简化和模拟。人工神经网络具有自学习、自组织、自适应以及很强的非线性函数逼近能力,拥有强大的容错性。它可以实现仿真、二值图像识别、预测以及模糊控制等功能。是处理非线性系统的有力工具。
C
CDR(Call Detail Record)
通话详单记录。CDR 是电信和通信领域中的术语,用于描述电话通话的详细记录信息。记录了电话通话的各种细节和元数据,包括通话的时间、持续时间、呼叫方和接收方的号码、呼叫类型(如呼入、呼出、未接)、通话质量指标等。这些记录信息可以用于电话账单计费、通话分析、业务监控和故障排除等目的。在电信运营商或通信服务提供商的系统中,每次电话通话都会生成一个对应的 CDR 来记录相关的通话信息。CDR 可以存储在数据库中,供后续查询和分析使用。基于 CDR 数据,可以进行通话统计、时段分析、通话质量评估、客户行为分析等。
CNN(Convolutional Neural Network)
卷积神经网络,是一种专门用来处理具有类似网络结构的数据的神经网络。卷积是一种特殊的线性运算。
COTS(Commercial Off-The-Shelf)
“商用现成品或技术”或者“商用货架产品”,指可以采购到的具有开放式标准定义的接口的软件或硬件产品,可以节省成本和时间。
CV(Computer Vision)
计算机视觉,计算机视觉是一门研究如何使机器“看”的科学,更进一步的说,就是是指用摄影机和电脑代替人眼对目标进行识别、跟踪和测量等机器视觉,并进一步做图形处理,使电脑处理成为更适合人眼观察或传送给仪器检测的图像。计算机视觉本身又包括了诸多不同的研究方向,比较基础和热门的几个方向主要包括了:物体识别和检测(Object Detection),语义分割(Semantic Segmentation),运动和跟踪(Motion & Tracking),三维重建(3D Reconstruction),视觉问答(Visual Question & Answering),动作识别(Action Recognition)等。
D
DNS(Domain Name System)
域名系统,是互联网的一项服务。它作为将域名和IP地址相互映射的一个分布式数据库,能够使人更方便地访问互联网。DNS使用UDP端口53。当前,对于每一级域名长度的限制是63个字符,域名总长度则不能超过253个字符。)
DP(Differential Privacy)
差分隐私,是一种隐私保护技术,其目标是在对数据进行分析和挖掘的同时,最大限度地保护个人隐私。差分隐私的核心思想是通过添加噪声来混淆个体数据,使得敏感信息不会被泄露。
G
GDBT(Gradient Boosting Decision Trees)
梯度提升决策树,一种集成学习算法,其模型结构包含多个决策树模型,通常是一些深度较浅的决策树,每个决策树的结构是相同的。每个决策树都是通过梯度提升的方式逐步构建的。最终的预测是由所有决策树的预测值加权平均得出的,在处理分类和回归问题方面取得了广泛应用。
GCN(Graph Convolutional Networks)
图卷积神经网络,实际上跟CNN的作用一样,就是一个特征提取器,只不过它的对象是图数据。GCN精妙地设计了一种从图数据中提取特征的方法,从而让我们可以使用这些特征去对图数据进行节点分类(node classification)、图分类(graph classification)、边预测(link prediction) ,还可以顺便得到 图的嵌入表示(graph embedding)等,即CNN在图结构上的运用。
GML(Geography Markup Language)-地理标记语言
是一种 XML 语法,基于文本表述地理要素。它既是 GIS 系统的数据类型,也是网络中公开交换地理信息的媒介。它不仅包含了传统的矢量信息,也包含了观测信息的某些成分,具有很高的通用性。GML可用于地理建模和互联网上的开放地理数据交换。
GNN(Graph Neural Networks)
图神经网络,传统的神经网络比较适合用于欧式空间的数据,而图神经网络 GNN 可以把神经网络用在图结构 (Graph) 中。图神经网络的种类很多,包括图卷积网络 GCN、图注意力网络 GAT、图自编码器 GAE 等。
GUI(Graphical User Interface)
图形用户界面,又称图形用户接口,是指采用图形方式显示的计算机操作用户界面。允许用户使用鼠标等输入设备操纵屏幕上的图标或菜单选项,以选择命令、调用文件、启动程序或执行其它一些日常任务。
I
IDE(Integrated Development Environment)
全称是集成开发环境 ,是用于提供程序开发环境的应用程序,一般包括代码编辑器、编译器、调试器和图形用户界面等工具。集成了代码编写功能、分析功能、编译功能、调试功能等一体化的开发软件服务套。所有具备这一特性的软件或者软件套(组)都可以叫集成开发环境。常见的IDE工具有Pycharm,Visual Studio Code等等
IID(Independent and Identically Distributed)
独立同分布,是指在统计学中,一组随机变量独立并且具有相同的概率分布。这意味着每个变量的取值是相互独立的,并且每个变量都来自于同一个概率分布。如果一组数据是IID的,那么可以假设这些数据是从同一个总体分布中独立地抽取而来的。
一个简单的例子是从同一个投掷公正硬币的结果中抽取一组硬币面朝上的结果。假设我们投掷公正硬币100次,每次结果是正面或反面,我们可以将这些结果表示为一个随机变量X1,X2,...,X100,其中每个变量的取值为0或1,分别表示反面和正面。这些变量是独立的,并且每个变量都来自同一个二元概率分布,即硬币的正反面各有50%的概率。
IMU(Inertial Measurement Units)
惯性测量单元 (IMU) 是一种设备,用于通过测量并报告一个体的速度、方向和重力,从而确定它的姿态和运动状态。IMU 的关键组件包括加速度计和陀螺仪,以及有时会包括磁力仪。
-
加速度计:能够测量设备在三个空间轴(通常是 X、Y 和 Z 轴)上的加速度,这些数据可以用来判断设备的移动速度以及设备是否在运动。
-
陀螺仪:能够测量设备在三个空间轴上的角速度,这些数据可以用来判断设备的旋转和倾斜。
-
磁力仪:它可以测量地磁场的强度和方向,帮助确定设备的方向。
J
JCR(Journal Citation Reports)
期刊引证报告,分区又称汤森路透分区法,共分四个区,其分区方法是把某一个学科的所有期刊都按照上一年影响因子降序排列,然后平均四等分(各25%),Q1 : 前25%,Q2 : 26%-50%,Q3 : 51%-75%, Q4 : 76%-100%。
期刊中又有中科院分区,将所有学科分为13大类,每个大类又分四等。为了保证期刊1区期刊数量,1区期刊取整个学科期刊数量总数的5%,即3年平均IF最高的5%的期刊为1区期刊。
M
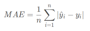
MAE (Mean Absolute Error)
平均绝对误差,yi表示真实值,y^i表示预测值,当预测值与真实值完全吻合时等于0,即完美模型;误差越大,该值越大。

一说MAE又叫L1 Loss,又一说L1 Loss是不带1/n的MAE,不过从最小化损失值的目标来讲,并无差别。
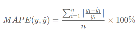
MAPE (Mean Absolute Percentage Error)
平均绝对百分比误差, yi表示真实值,y^i表示预测值,n则表示值的个数。MAPE的值越小,说明预测模型拥有更好的精确度。

MDP (Markov Decision Process)
马尔科夫决策过程,系统在当前时刻所处的状态仅仅与系统上一时刻所处的状态有关;系统在下一时刻所处的状态仅仅与系统当前时刻所处的状态有关,与系统上一时刻所处的状态无关。
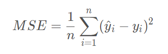
MSE (Mean Square Error)
均方误差, 范围[0,+∞),当预测值与真实值完全吻合时等于0,即完美模型;误差越大,该值越大。公式如下: yi表示真实值,y^i表示预测值。

一说MSE又叫L2 Loss,又一说L2 Loss是不带1/n的MSE,不过从最小化损失值的目标来讲,并无差别。
N
NLP(Natural Language Processing)
自然语言处理,是计算机科学领域与人工智能领域中的一个重要方向。它研究能实现人与计算机之间用自然语言进行有效通信的各种理论和方法。自然语言处理主要应用于机器翻译、舆情监测、自动摘要、观点提取、文本分类、问题回答、文本语义对比、语音识别、中文OCR等方面
P
PDF(Probability density function)
概率密度函数,概率密度函数是用来描述连续型随机变量的概率分布情况的函数。它可以用来计算随机变量落在某个区间内的概率,也可以用来计算随机变量在某一点的概率密度值。概率密度函数还需要满足积分值为 1,即:∫(-∞→+∞) f(x) dx = 1
R
RMA(Robotic process automation)
机器人流程自动化,系统是一种应用程序,它通过模仿最终用户在电脑的手动操作方式,提供了另一种方式来使最终用户手动操作流程自动化。是以软件机器人及人工智能(AI)为基础的业务过程自动化科技。与GUI有交互,一种自动化技术。
RMSE (Root Mean Square Error)
均方根误差, 相比MSE加了个根号,这样数量级上比较直观,比如RMSE=10,可以认为回归效果相比真实值平均相差10。范围[0,+∞),当预测值与真实值完全吻合时等于0,即完美模型;误差越大,该值越大。公式如下: yi表示真实值,y^i表示预测值。

RNN(Recurrent Neural Network)
循环神经网络,是一类以序列(sequence)数据为输入,在序列的演进方向进行递归(recursion)且所有节点(循环单元)按链式连接的递归神经网络。RNN之所以称为循环神经网路,即一个序列当前的输出与前面的输出也有关。具体的表现形式为网络会对前面的信息进行记忆并应用于当前输出的计算中,即隐藏层之间的节点不再无连接而是有连接的,并且隐藏层的输入不仅包括输入层的输出还包括上一时刻隐藏层的输出。RNN的应用领域有很多, 可以说只要考虑时间先后顺序的问题都可以使用RNN来解决。主要有: NLP、视频处理, 文本生成, 语言模型, 图像处理、语音识别、文本相似度计算、音乐推荐、商品推荐、视频推荐等。
S
SLOC(source lines of code)
源代码行数
SIG(Special Interest Group)
在计算机领域,SIG意味着特别兴趣小组,用于描述在某个领域或主题上聚集的一群人。SIG 通常由对特定主题感兴趣的专业人士、研究人员、爱好者或组织组成。如SIGGRAPH(计算机图形学特别兴趣小组)和 SIGPLAN(编程语言特别兴趣小组)。这些 SIG 通过组织会议、发表论文和促进领域内的合作来推动计算机科学领域的研究和发展。

浙公网安备 33010602011771号