小人鱼的数学题
13. 新考法 分类讨论法
如图,在平面直角坐标系xOy中,直线 y=kx-3 (k≠0)与抛物线 y=-x²相交于A, B两点(点A在点B的左侧),点B关于y轴的对称点为B'。
(1) 当k=2时,A, B两点的坐标分别为 ______;
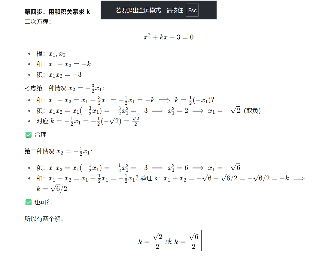
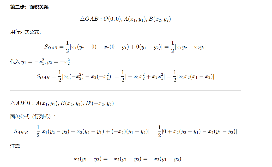
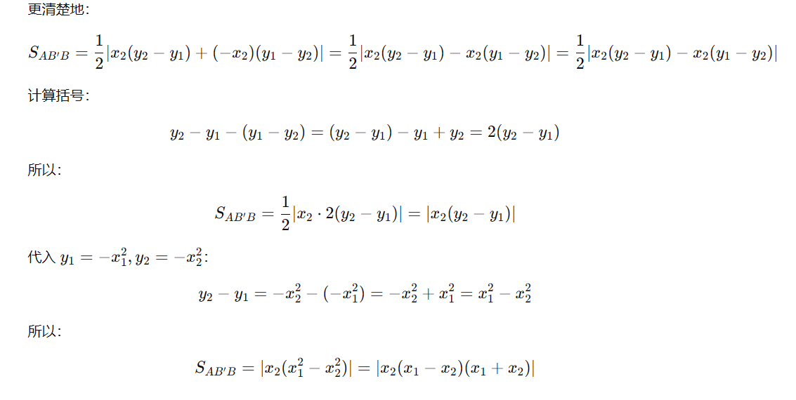
(2) 连接OA, OB, AB', BB',若△AB'B的面积与△OAB的面积相等,求k的值;
(3) 试探究直线AB'是否经过某一定点。若是,请求出该定点的坐标;若不是,请说明理由。
如图,在平面直角坐标系xOy中,直线 y=kx-3 (k≠0)与抛物线 y=-x²相交于A, B两点(点A在点B的左侧),点B关于y轴的对称点为B'。
(1) 当k=2时,A, B两点的坐标分别为 ______;
(2) 连接OA, OB, AB', BB',若△AB'B的面积与△OAB的面积相等,求k的值;
(3) 试探究直线AB'是否经过某一定点。若是,请求出该定点的坐标;若不是,请说明理由。