Part I Liner Regression with One Variable
Just a study note for a maching learning course by Andrew Ng
Univariate linear regression
Model Representation
-
\(m\): Number of training examples
-
\(x^{(i)}\): ”input“ variable / features
-
\(y^{(i)}\): ”output“ variable / ”target“ variable
-
\((x,y)\) : one training example
-
\((x^{(i)},y^{(i)})\) : i-th training example

- Function h:
- \(h_\theta(x)=\theta_0+\theta_1x\)
Cost Function
- \(h_\theta(x)=\theta_0+\theta_1x\)
- \(\theta_i\) :Parameters
- Cost Function : To measure the accuracy of hypothesis function.
- Idea: Choose \(\theta_0,\theta_1\) so that \(h_\theta(x)\) is close to \(y\) for our training example \((x,y)\)
- The Squared Error Function :
- Goal : \(minimize\ J(\theta_0,\theta_1)\)
- Contour Plot:

Gradient descent
- To \(min\) \(J(\theta_0,\theta_1)\)
- Outline
- Start with some \(\theta_0,\theta_1\) (\(\theta_0=0,\theta_1=0\))
- Keeping changing \(\theta_0,\theta_1\) to reduce \(J(\theta_0,\theta_1)\) until we hopefully end up at a minimum.

-
The distance between each 'star' in the graph above represents a step determined by our parameter \(\alpha\). A smaller \(\alpha\) would result in a smaller step and a larger \(\alpha\) results in a larger step.
-
The direction in which the step is taken is determined by the partial derivative of \(J(\theta_0,\theta_1)\)
-
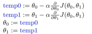
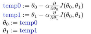
Gradient descent algorithm
- repeat until convergence
\[\theta_j:=\theta_j-\alpha\frac{\partial}{\partial\theta_j}{J(\theta_0,\theta_1)} (\mbox{for}\ j=0\ and\ j=1) \]-
\(:=\) assign,differ from \(=\)
-
\(\alpha\) : constant value,"learning rate"
-
"simultaneous update:"

-
To simply the question, we make the question only one parameter \(\theta_1\)
-
\(\theta_1:=\theta_1-\alpha\frac{d}{d\theta_1}J(\theta_1)\)
-
\(\theta_1\) eventually converges to its minimum value

-
We should adjust our parameter \(\alpha\) to ensure that the gradient descent algorithm converges in a reasonable time.
- If \(\alpha\) is too small, gradient descent can be slow
- If \(\alpha\) is too large, gradient descent can overshoot the minimum. It may fail to converge, or even diverge.
-
When \(\theta_1\) at local optima, \(\frac{d}{d\theta_1}J(\theta_1)=0\)
-
As we approach a local minimum, gradient descent will automatically take smaller steps.
-
Consider the question with two parameters \(\theta_0,\theta_1\)
-
\(\frac{\partial}{\partial\theta_j}{J(\theta_0,\theta_1)}=\frac{\partial}{\partial\theta_j}\frac{1}{2m}\sum^{m}_{i=1}(h(x^{(i)})-y^{(i)})^2=\frac{\partial}{\partial\theta_j}\frac{1}{2m}\sum^{m}_{i=1}(\theta_0+\theta_1x^{(i)}-y^{(i)})^2\)
-
\(j=0:\frac{\partial}{\partial\theta_0}J(\theta_0,\theta_1)=\frac{1}{m}\sum^{m}_{i=1}(h(x^{(i)})-y^{(i)})\)
-
\(j=1:\frac{\partial}{\partial\theta_1}J(\theta_0,\theta_1)=\frac{1}{m}\sum^{m}_{i=1}(h(x^{(i)})-y^{(i)})x^{(i)}\)
-
so we have
- the optimization problem we have posed here for linear regression has only one global, and no other local, optima.
- thus gradient descent always converges (assuming the learning rate α is not too large) to the global minimum. Indeed, J is a convex quadratic function.

浙公网安备 33010602011771号