全连接神经网络
全连接神经网络
整体架构

线性函数
从输入到输出的映射

举一个例子
我们通过一个简单的全连接层来判断西瓜甜不甜,其中影响西瓜甜不甜的因素暂定为3个,分别是瓜蒂(x1),拍西瓜产生的声音(x2), 西瓜皮的纹路(x3)。我们将者三个作为全连接层的输入,中间隐藏层神经元的数量为4,而全连接层的输出为预测西瓜甜的概率p1和预测西瓜不甜的概率p2。

其中,我们以W[3,4]为例,进行详细说明
-
W是被随机初始化的,并且初始化的值相对较小;
-
W矩阵间的数值初始是没有任何关联的,经过训练一步步去试探x1,x2,x3之间的占比;
-
下面是训练一段时间后,假设W矩阵的值

-
关于第三条图的说明:
- W1认为影响西瓜甜不甜的因素中,拍西瓜产生的声音(x2)对其产生的影响最大,其次是西瓜皮的纹路(x3),最后是瓜蒂(x1);
- W2认为影响西瓜甜不甜的因素中,西瓜皮的纹路(x3)对其产生的影响最大,其次是瓜蒂(x1),最后是拍西瓜产生的声音(x2);
- W3认为影响西瓜甜不甜的因素中,瓜蒂(x1)对其产生的影响最大,其次是拍西瓜产生的声音(x2),最后是西瓜皮的纹路(x3);
- W3认为影响西瓜甜不甜的因素中,瓜蒂(x1)和拍西瓜产生的声音(x2)对其产生的影响同等重要,最后是西瓜皮的纹路(x3);
最后我们说一下计算过程,假设[x1,x2,x3] = [56,231,24] ,计算[h1,h2,h3,h4]

损失函数
损失函数其实有很多种,我们来看一个简单的损失函数$L_i = \sum_{i\neq y}max(0,s_j+s_{y_i}+1)$:

如何损失函数的值相同,那么意味着两个模型一样吗?


虽然损失函数的值相同,但是模型A会出现极端点,对数据的鲁棒性差;而模型B对数据的鲁棒性相对较好。
为了去掉极端点的,我们在原有的损失函数后,加入一个正则化惩罚项 ,使得极端数据点变得平滑一些

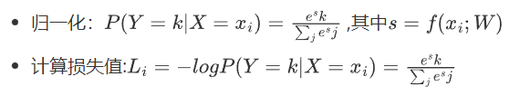
Softmax分类器


利用exp函数后,可以使得彼此之间差距。
激活函数
Sigmoid
-
数学表达式

-
导数表达式

-
函数图像

Sigmoid函数在历史上曾非常常用,输出值范围为[0,1]之间的实数。但是现在它已经不太受欢迎,实际中很少使用。
Relu
-
数学表达式

-
函数图像

-
适用范围
- ReLU解决了梯度消失的问题,当输入值为正时,神经元不会饱和
- 由于ReLU线性、非饱和的性质,在SGD中能够快速收敛
- 计算复杂度低,不需要进行指数运算
Leaky Relu函数
-
数学表达式

-
函数图像

-
适用范围
-
解决了ReLU输入值为负时神经元出现的死亡的问题
-
Leaky ReLU线性、非饱和的性质,在SGD中能够快速收敛
-
计算复杂度低,不需要进行指数运算
-

浙公网安备 33010602011771号