802.11ax学习笔记_第一周
计划
- 完成几篇中文文献的阅读
- 理解其中涉及到概念和技术
- 对知识进行梳理
802.11ax标准
解决问题: 高密度无线接入、高容量无线业务
物理层(PHY):用于对上层来的数据进行处理,并提供一个传输比特流的物理连接;802.11ax在PHY层引入OFDMA多址接入技术来支持多用户上、下行
介质访问控制层(MAC):用于控制数据的发送和接收,以及信道的分配;调度和资源分配(SRA)在此层进行
服务质量:Qos,为不同的流量提供不同的优先级
时频资源块:RU,数据承载者
无线接入点:AP
工作站:STA,终端
下行链路:Downlink,DL
上行链路:Uplink,UL
空间流数量:AP的天线
时域上的传输信号:Symbol
传输信号间的空隙:GI,起保护作用,抗多径衰落
正交振幅调制:QAM,通过振幅和相位联合键控缓解多进制调制引起的噪声容限降低
下图是几代WiFi标准在参数上对比

可以看出,802.11ax相对于前几代WiFi标准,在调制技术、最小子载波带宽方面有较大提升,1个Symbol可以承载更多的bit数 ,相同的频宽下也会有更多的有效子载波数,从而获得速率上的提升。另外,由于最小子载波带宽减小,一个Symbol的持续时间变得更长,更长的发送时间可降低终端丢包率;更小的子载波带宽也可以有效降低频段噪声干扰,提升了终端接受灵敏度,增加覆盖距离。
此外,802.11ax标准还使用BSS coloring着色机制(用于多AP场景)和TWT休眠技术。但802.11ax亮眼的地方在于使用MU-MIMO和OFDMA技术来增强MAC层和物理层的功能。
802.11ac和802.11ax的帧结构
为了继承和兼容11a和11n的设备,11ac的物理层帧结构仍然会有传统的前导码。除此之外还有VHT的前导码和数据部分。
下图是802.11ac的帧结构

L-STF、L-LTF字段主要完成AGC,以及粗同步和精同步功能。
L-SIG字段包含主要速率信息、长度信息等,结构如下图所示:

VHT-SIG-A字段包含调制编码方式(MCS,可兼容旧版调制方式)、信道信息、数据长度、编码方式、空间流数、是否采用波束成形、保护间隔时间长短、CRC校验等信息。
VHT-STF、VHT-LTF字段用于MIMO系统的AGC和信道估计。
AHT-SIG-B字段主要用于规定多用户中每个用户的MCS和长度。
802.11ax的帧结构与带宽有关
当频宽为20MHz时,一个802.11ax的帧结构主要分为以下四部分:
-
L前导,L-STF、L-LTF、L-SIG三个字段是为了兼容前几代WLAN协议,从而被保留
-
HEW控制字段,用来指示DL和UL子帧的配置信息,包括上、下行子帧的数量,每个下行子帧的起始时间和长度,DL/UL子帧中每个STA分得的资源位置等
-
DL子帧/UL子帧,包含一个HEW前导和DL/UL data,其中HEW前导代替了802.11ac中的VHT前导,类比L-STF、L-LTF、L-SIG字段,HEW前导包含所有DL/UL数据传输所需要的控制信息,如:
- HEW-STF,用于AGC再调整
- HEW-LTF,用于MIMO信道估计或多用户/多流传输场景中用于检测DL/UL负载
- HEW-SIG,可选字段,包含DL/UL子帧中特定的STA调度信息,如STA的空间流分配方式、MCS、数据长度等

当频宽为20MHz、40MHz、80MHz时,使用的是多通道的帧结构设计,每个通道都代表一个20MHz的信道,其中:
- HEW-SIG1,同于指示公共控制信息,如带宽、DL/UL子帧、HEW-SIG2的配置信息等
- HEW-SIG2,占用整个带宽,用于指示DL/UL子帧中STA的特定控制信息

当频宽为160MHz时,使用两个不连续的80MHz信道组成160MHz带宽时的帧结构,由于两个80MHz信道不连续,两者的DL/UL子帧长度不用保持一致,但每个80MHz带宽的DL/UL子帧长度要保持一致。

总体上看,帧结构是一种”功能帧/信息帧+数据帧+保护帧”的构造,在WiFi迭代时,可能需要保留旧协议的功能帧/信息帧,此外,由于先进技术的引用,需要插入功能帧/信息帧,帧结构趋向结构复杂化,有效数据帧占比减小的趋势。
核心技术
MU-MIMO:
实现物理空间上的多路并发,所有用户都使用全部带宽,适用于大数据包的并行传输,能提升多空间流(天线)的利用率与系统容量,提高单用户的速率,同样能降低时延。
MU-MIMO在802.11ac已经引入,但只支持DL MU-MIMO,基本原理如下:
- AP使用波束成形技术,向STA发送NULL Data报文,发起信道评估
- STA收到报文后,把接收到的信道状态信息封装报文反馈给AP
- AP获得STA的信道状况,为每个用户计算信道矩阵
- AP将同步波束导向不同用户,而每道波束都会包含适用于所属STA的报文

假设发射端在每根天线发射的数据分别为X1和X2,经过空间传输的衰减和干扰,在接收端的数据变为了Y1和Y2,空间中的4条传输路径H就是数据变化的系数,用于表示无线信道特征。所以只要H已知,就可以计算出接收端收到的数据Y。
信道矩阵的计算:
在发送数据时,AP会发送BAR帧(Block ACK Request),各个STA收到各自的数据之后会回复BA帧(Block ACK,用于确认下行数据成功传输)。

与802.11ac不同,802.11ax在上行链路中也引入MU-MIMO技术。
其工作原理为:AP通过触发帧(Trigger)的方式来协调多个STA ,完成同步和信道估计,并通知STA发送时间、有效载荷持续时间(payload time)、GI的类型等内容,STA根据要求发送UL MU PPDU(物理层协议数据单元数据包,一帧),在AP端同时接收并解调出用户信息。

OFDMA:
实现频域空间的多路并发,适用于小数据包的并行传输,能提升单空间流(天线)的信道利用率与传输效率,减少应用延迟与用户排队。运行状态稳定,不容易受终端影响。
在OFDM模式中,用户是通过不同时间片段区分出来的。每一个时间片段,一个用户完整占据所有的子载波,并且发送一个完整的数据包。(显然浪费了信道资源)
OFDMA相对于OFDM在信道资源分配上更加细致。
在OFDMA模式中,用户是根据RU区分出来的,每个RU至少包含26个子载波(此处为啥是26个载波,不明),将整个信道的资源分成一个个小的固定大小的RU,用户的数据是承载在每一个 RU 上的,每个时间片端上存在多个用户数据,从而提高频谱的利用率和系统吞吐量。

在OFDMA模式下进行数据传输时,STA需要给AP发送业务需求和资源分配请求,AP根据各个STA的业务请求和当前的资源情况,为各个STA分配时频资源,一个STA可以分得一个或者多个RU。以40MHz频宽下的RU划分为例,其他频宽下的RU划分相当于40MHz频宽下RU的拆分和组合。

整个信道子载波可以分为四种类型,分别是:
- 保护子载波,包含信道之间的guard tones和7个DC子载波。
- 空子载波,用于RU之间的保护间隔,一般是一个子载波。
- 导频子载波,均匀分布在整个信道,有固定位置,每一个RU中包含2个到导频子载波,用来进行信道估计,避免产生频偏。
- 数据子载波,即每个RU所包含的子载波,每个RU之间可以进行组合来满足业务需求。
多用户多址传输
802.11ax提出了MU-MIMO+OFDMA的传输模式,实现多用户多址传输。
为了保持后向兼容性,802.11ax保留了传统802.11协议基于CSMA/CA的竞争信道接入机制,该机制能够避免多个节点同时访问网络所带来的冲突问题,具体实现过程参考:802.11协议精读2:DCF与CSMA/CA
802.11ax中UL 多用户传输
上行多用户传输存在两种接入方式:调度接入和随机接入
-
调度接入
在此模式下,AP需要先获知各关联STA的缓冲状态报告(BSR)以及信道状态信息,然后才开始调度UL多用户传输。具体过程包括:
- AP 竞争接入信道
- STA 上报 BSR 和 信道状态信息(CSI)
- AP 使用触发帧(Trigger)调度UL多用户传输
- AP 回复多STA块确认帧(MBA)。
AP通过CSMA/CA机制竞争接入信道。在AP成功竞争到信道后,AP会向各STA发送缓冲状态报告轮询帧(BSRP,一种触发帧),各 STA 收到 BSRP 帧后,在对应 RU 上向 AP 反馈其 BSR。
AP根据各个STA的UL缓存状况,选择相应的SRA方案,调度STA进行UL多用户传输。其中,SRA信息是通过AP发送的触发帧(Trigger)广播给各个STA,Trigger帧包含RU 划分方式、STA/RU 匹配信息、传输时长、MCS、空间流、发射功率等信息。
各个STA在成功接收到Trigger帧之后,如果被调度,则对UL数据进行处理,例如填充数据(padding),然后在Trigger帧中规定的RU上传输UL数据。
在AP成功接收到至少一个STA发送的UL数据后,会等待短帧间隔(SIFS),之后将在整个信道回复MBA帧以确认收到相应STA的UL数据

-
随机接入
在此模式下,RU不全部用来调度接入,有一部分RU用于UL随机接入,执行随机接入的STA都有一个OFDMA退避(OFDMA Back-off,OBO)计数器,该OBO计数器从\([0,OCW]\) 中随机选取一个整数值,初始OCW值设置为OCWmin,当该STA传输失败,OCW的值翻倍,最大为OCWmax,其中OCWmin和OCWmax信息由Beacon帧携带。
随机接入通过AP发送的TF-R帧实现,在TF-R帧中指示了用于UL随机接入的RU,STA会先确定TF-R帧中是否指示了用于随机接入的RU,如果有,STA会在\([0,OCW]\) 中随机选择一个OBO计数值,没经过一个TF-R帧,STA的OBO值将更新为当前OBO值减去TF-R帧中规定的用于随机接入的RU数,如果OBO值低于TF-R帧中规定的用于随机接入的RU数量,则OBO值直接更新为0。

其中,RU1、RU2、RU3的AID值为0,表示这些RU用于随机接入,RU4用于调度接入。当第二个TF-R帧到来时,各STA会根据TF-R帧中指示的用于随机接入的RU数量和各个RU的AID值,各个STA更新OBO值,并判断是否进行随机接入。
调度接入模式适合STA数量密集,个STA业务量较重,且业务有Qos要求等情形,可以提高系统资源利用率,保障STA的Qos。
随机接入模式适合业务量较轻,具有UL数据待传的STA利用随机接入的方式上报BSR,相对于调度模式的BSRP的方式,简单一些。
802.11ax中DL 多用户传输
与 UL MU 传输机制不同,DL MU不需要 AP 专门发送TF帧来调度各STA进行数据传输,因为在AP发送的DL MU PPDU的PHY头中,HEW-SIG-B字段已经包含了DL MU传输的SRA信息。因此,STA可以直接从HEW-SIG-B字段中获得SRA信息,并在特定RU上接收数据。
AP发送的下行MU PPDU包含了SRA信息,以及多个STA的下行数据,其中PHY头HEW-SIG-B字段包含的SRA信息有RU划分和RU/STA匹配信息,后者规定了STA在RU上使用的MCS值、空间流数目、传输时长,以及发射功率等。
被调度的STA收到HEW-SIG-B字段中携带的SRA信息后,在对应RU上接收DL数据,对于较短的DL数据,AP会进行填充处理(padding)。各个STA在成功接收后,会在对应RU上向AP回复BA帧确认,BA帧通过OFDMA方式整合。

可以看出,在 802.11ax 中,无论是 UL 多用户传输,还是 DL 多用户传输,AP 一直主导着整个用户接入和资源分配过程。所以下行链路和上行链路流量的调度和资源分配对于重负载系统中的最佳性能优化变得至关重要。802.11ax标准仅提供灵活的框架,并没有任何预定义的SRA算法,因此,对802.11ax的研究也较多地集中在调度和资源分配算法(SRA)的研究。
论文中802.11ax标准下的调度和资源分配(SRA)方案的梳理
多AP情景涉及到BSS coloring机制,比较复杂,以单AP,多STA(取STA=k)场景为例。
经典SRA算法
最大吞吐量算法(MT)
MT算法以系统吞吐量最大化为目标,牺牲用户间的公平性来换取系统吞吐量的最大化。其基本思路为计算所有待发送数据用户的载干比并降序排列,调度时按照序列进行,优先调度序列中载干比值最大的用户。此算法保证在每轮调度中总是调度信道质量好的用户从而使系统吞吐量最大化。
以最大吞吐量为目标的SRA算法设计过程具体分为如下几个阶段:
-
RU划分
此处,信道被均匀划分(RU等大小),在不同RU大小下,取RU的数目如下图。

当\(k \geq N_I\) 时,取第 t 帧(t为某一中间帧数)内调度的用户数均为\(N_I\) ,因为\(N_I\) 最大,而STA数(即k值)大于\(N_I\) ,剩下\(k-N_I\) 个STA留在第t+1帧内调度。
当\(N_i \leq k \leq N_{i-1}\) ,\(i=II,III,…\) 时,此时,虽然\(k \leq N_I\),但为了占满信道,取第 t 帧内调度的STA均为\(N_i\) ,剩余\(k-N_i\) 个STA留在第t+1帧内调度。
-
STA/RU匹配
确定了第t帧的RU数目N(t)之后,因为AP在调度多STA传输之前,就已经知道各STA的信道状况,又因为此时每个RU的带宽相同,根据香农公式可知,此时传输速率只和信噪比有关,我们优先分配RU给信道条件较好的STA,使每一帧的速率尽可能快,从而使系统吞吐量较高,但不是最高。
缺点是信道条件差的STA可能长期分配不到RU,造成STA间信道接入的不公平性。
轮询算法(RR)
该算法不考虑各STA的信道条件,轮流为各STA分配信道资源,按照用户关联ID(Association ID,AID)号的大小顺序依次为STA分配RU,从而保证了个用户可以公平地享用系统资源,但会造成吞吐量不高。
RR算法非常简单,与MT算法类似,需要先对每一帧中的RU数目进行划分,在RU数目划分完成后,AP在每帧内依次为STA分配RU进行传输,当前帧内未分配到RU的STA等待后续帧内传输,如下图所示。

比例公平算法(PF)
PF算法兼顾了系统吞吐量和用户公平性,相对于MT算法和RR算法,主要在STA/RU匹配过程进行了优化,选择STA分配RU时,不仅仅考虑STA当前的信道条件,还考虑STA的历史平均速率,有点卡尔曼滤波的感觉。
PF算法的STA/RU过程如下:
-
获得当前\(STA_i\) 在\(RU_j\) 上的瞬时速率\(r_i^j(t)\) 。
\[r_i^j(t)=B_j \cdot lb(1+\beta \cdot SNR_i^j(t)) \]其中,\(\beta\) 是香农容量与实际速率之间的速率差距,取值范围:\(0<\beta < 1\) ,根据标准\(\beta\) 一般取0.5。
-
获取\(STA_i\) 的历史平均速率\(\overline{R_i}(t)\) 。
\[\overline{R_i}(t)=(1-\frac{1}{T})\overline{R_i}(t-1)+\frac{1}{T} r_i^j(t-1) \]其中T为滑动时间窗口,其值依据调度过程中用户距离上次传输时的最长等待时间来确定,一般选取T值为一轮TXOP时长。
-
计算\(STA_i\) 在\(RU_j\)上的比例公平因子\(\alpha_i^j(t)=\frac{r_i^j(t)}{\overline{R_i}(t)}\) ,如下图

PF调度器依次为每个RU选择比例公平因子\(\alpha_i^j(t)\) 最大的STA,直到RU用完,在完成一轮TXOP内的多用户调度后,更新各STA的平均吞吐量\(\overline{R_n}(t)\) 。
改进型SRA算法
广义比例公平算法(GPF)
针对PF 算法在调节系统吞吐量与用户间速率公平性的折中程度上不够灵活的问题,(陈, 2019)这篇论文通过在系统初始化引入不同比值的比例因子,灵活调节系统吞吐量和用户速率公平性之间的折中程度。
但论文中对于比例调节因子a/b的值貌似只能手动调整,且没有说明调整多少,只能用于仿真出图,有一定参考意义,但与实际应用有一定距离。
引入速率公平性因子\(F_R\) ,衡量TXOP时间内各STA实际速率的公平性。
其中M表示TXOP内调度用户的数目,\(R_m(\Delta T)\) 表示调度时长\(\Delta T\) 内,用户m的实际速率。\(F_R(\Delta T)=1\) 表示对应于给定调度间隔\(\Delta T\) 内,相对于定义标准的最佳用户速率 公平性,即所有 STA 在调度时长\(\Delta T\) 内,都实现了相同数据速率。
定义比例因子\(a\in[0,+\infty]\) 和\(b\in[0,+\infty]\) 来灵活调节系统吞吐量和用户速率公平性间不同程度的折中。
假设信道被化分成S个RU,使用广义比例公平因子\(P_m^s(t)\) 代替PF算法的\(\alpha_i^j(t)\) ,\(STA_i\) 的历史平均速率\(\overline{R_i}(t)\) 的计算公式不变。
与PF算法相同,为每个RU选择广义比例公平因子\(P_m^s(t)\)最大的STA来完成分配。
当a/b变大时GPF调度器逐步变为最大吞吐量调度器;反之,GPF调度器将调度具有最低历史平均速率的STA,有利于均衡各STA的平均速率。
基于用户优先级的SRA算法
四种访问类型(Access Category,AC)业务,依优先级高低排序为语音(VO)业务、视频(VI)业务、尽力而为(BE)业务和背景(BE)业务。
该算法在保障不同QoS业务基于优先级调度的情况下,尽可能地服务更多的用户,当信道资源充足时,在保障较高优先级用户的同时,尽可能多地满足低优先级用户的需求。
相关符号参数的定义
在某一时刻,每个STA只产生一种业务类型的数据,定义用户优先级调度(User Priority Scheduling,UPS)准则:
- 当且仅当所有比\(STA_i\) 优先级高的 STA 请求得到满足后,资源单元 RU 能分配给 \(STA_i\) 。
- 在规则 1 约束条件下,满足服务要求的 STA 数目应当尽可能地大。
定义满足UPS标准的调度器为基于优先级的调度器,该调度器可以实现(a)保证每个STA基于优先级的服务;(b)在优先级顺序下,最大化满意STA(即实际传输速率\(r_i^*\) 满足它要求的速率\(R_i\) )的数目
为了满足规则1,定义限制条件:
如果 \(r_s^*<R_s\) , 则 \(r_t^*=0\) , 这意味着不能给低优先级的 STA \(t\) 分配信道资源, 除非高优先级 STA \(s\) 要求的速率得到满足; \(r_s^* \geq R_s\) 时, \(r_t^* \geq 0\) , 即当高优先级 STA \(s\) 要求的速率得到满足后, 调度器才考虑给 STA \(t\) 分配信道资源进行传输。
为了满足规则2,定义限制条件:
这就使得,在保证规则1约束下的用户满意容量的同时,消除了信道资源分配的不平衡。为了使满足服务要求的STA数目尽可能地大,将目标设置为:
其他的约束条件包括:
SRA算法被转化为非线性优化问题,即在约束条件(4)(5)(6)(1)(2)下,获得目标(3)的最优解,根据最优解情况下的二进制指示符\(a_{i,j,k}\) ,获得每个RU对应的STA,实现基于用户优先级的最优分配。
非线性问题的求解过程比较困难,可以通过引入辅助变量,将非线性问题转化为线性问题,将公式(1)的项去括号得:
由于\((a_{s,j_t,k_z}\cdot a_{t,j_t,k_t})\) 是乘积关系,仍然是非线性项,引入辅助变量\(w_{s,j_s,k_s,t,j_t,k_t}\) 代替乘积项\(a_{s,j_s,k_s} \cdot a_{t,j_t,k_t}\) ,将公式(1)转化为线性关系:
同时\(w_{s,j_s,k_s,t,j_t,k_t}\)需要满足以下约束条件:
可以看出,如果TXOP内得每一帧都做一次线性优化,成本非常高。论文也提出了一种低复杂度的次优算法,基本思想是先根据用户优先级将用户分成不同的组,并且从最高优先级组到最低优先级组分别执行资源分配算法。

从最高优先级组开始,依次执行资源分配以满足当前组中用户的要求,同时最小化所使用的RU数量,如果RU已经全部分配,则转到下一帧。
基于遗传算法最大化吞吐量(GAMT)的SRA算法
该SRA算法核心是改进的MT算法,利用GA 算法的全局搜索匹配的优越性,以及其信息处理的并行性对改进的MT算法进行寻优,同样将资源分配问题转化为有限约束条件下的优化问题。
改进的MT算法
由于经典MT算法只考虑STA的信道条件,对信道条件好的STA优先发分配RU,忽略了STA业务量多少对传输时长的影响,会出现业务量少的STA和业务量多的STA同时被调度,导致资源被浪费。
引入类似于PF算法的比例公平因子,论文中调度优先级因子如下:
其中,\(d_i(t)\) 表示在一轮TXOP内的业务量,公式(9)后一项表示对某一STA的业务量进行归一化。
遗传算法(GA)过程参考:超详细的遗传算法(Genetic Algorithm)解析
生物概念对应的算法操作

GAMT算法要优化的目标函数如下:
其中f(X)表示在给定 RU 分配情况下的系统吞吐量,X代表STA 随机匹配 RU 的分配方案,X 是在初始化种群中生成的。
由于802.11ax中,一个 RU 拥有多种备选规格,故需同时对 RU 的大小和位置进行编码,因此无法直接对 RU 进行编码。所以在编码时,假设信道均等划分 26-tone RU 的数目为 \(N_I\) ,则 52-tone、106-tone 和 242-tone RU 的数目分别为\(N_I/2\) 、\(N_I/4\) 和 \(N_I/8\) ,接着再对整个信道按均等划分不同大小RU进行多重编码,可以实现对RU的大小和位置同时进行编码。
编码
采用实数编码的遗传算法,RU代表基因,通过增加基因数量来对RU的大小和位置进行编码,如下图。

在为STA随机分配基因后,可能会存在RU的频谱出现重叠,通过判断是否重叠,删除存在频谱重叠的STA的基因分配。
假设 STA 生成各个数据包的长度相等,则合适帧长的选择问题可转化为数据包数目L的选择问题,L的基因编码 \(l\) 为[0,1]范围内的随机数,实际上数据包个数 L 的值如下式:
初始化种群
随机生成M个个体,每个个体\(X_k\) 可以表示为:
此时的个体仅仅是随机分配,不能满足改进MT算法中对调度优先级的要求,因此,需要对随机生成的个体\(X_k\) 进行调整。
由于AP传输数据前会询问各STA,可以知道各STA的缓存状态和信道条件。首先计算各STA的调度优先级因子\(\alpha_i^j(t)\) ,将各STA按照调度优先级因子降序排列,按优先级顺序选取不同 RU 下的 STA 组成一组占据整个信道带宽的 STA 集(有效解)。
适应度评价
适应度函数的选取一般可以由目标函数构成,该SRA方案是为了实现系统吞吐量最大化,所以选取个体适应值为个体X的吞吐量计算公式:
轮盘赌选择
首先计算种群中M个个体的适应度\(f(X_k)\) ,然后进行归一化得到选择概率:
轮盘赌的思想就是个体的选择概率映射为轮盘上的区块范围,选择概率越大,区块范围越大,具体操作如下:
- 计算第 k (k=1,2,…,M)个体的累计概率q(k),\(q(k)=\sum_{s=1}^{k}P(X_s)\)
- 第 k 个个体映射到轮盘上的\((q(k-1),q(k)]\) 范围,因为选择概率\(P(X_k)\) 归一化,所以轮盘整体范围为[0,1]
- 在区间[0,1]范围内生成伪随机数r
- r落在轮盘的哪个区间范围,表示该个体遗传到下一代
重复转动轮盘M次,得到下一代的种群,由于在轮盘赌过程中区块范围越大,越容易被选择,这也保证了系统吞吐量大的RU分配方案被保留并增殖,系统吞吐量小的RU分配方案被淘汰。
交叉
交叉操作需要依据一定概率(交叉概率需要预先指定,也可以在某段范围内随机取值),可以交叉,可以不交叉,一般来说,交叉概率大于变异概率。
交叉的位置也通过随机数进行选择。
将两个个体\(X_a,X_b\) 中的一段基因(匹配STA的RU)进行交换得到新个体,如下图。

变异
个体变异的概率较小(变异概率需要预先指定,也可以在某段范围内随机取值),且一般为单点变异,论文中没有说明如何变异,猜测是将更换个体\(X_k\) 中某个RU对应的STA来实现。
变异点的位置通过随机数来指定。
迭代
之后重新评估种群中M个体(包含交叉和变异个体)的适应度值,进入下一轮轮盘赌选择,直至到达终止条件(一般是设置迭代多少代或者是适应度值达到了目标)。
GA 算法更注重整体优化,存在局部搜索能力弱的缺点,易过早收敛以及对参数敏 感,对于存在局部最优解和局部比较陡峭的情况,算法的性能会比较差。而本文研究 的 STA 和 RU匹配问题属于离散优化问题,对局部搜索能力要求较高。
IGAMT算法
论文提出一种改进的 GAMT 算法即 IGAMT 算法,将 GA 算法和混沌搜索算法相结合,提升局部搜索能力。
混沌搜索算法的具体过程为:
- 随机挑选基因位置即一串编码中的部分位置
- 对这些位置的基因进行随机调整,调整力度 λ 随着迭代次数的增加而增加
- 计算新个体的适应值
- 将新个体\(X_k^{'}\)的适应值与老个体\(X_k\) 的适应值进行比较,若\(X_k^{'}\) 比\(X_k\) 性能上升10%,则退出搜索,否则重复(1)~(3)直至搜索次数达到上限\(Z_1\)
- 对其他(M-1)个次优个体也进行步骤(1)~(4)的操作,但搜索次数上限\(Z_2\) 小于\(Z_1\)
IGAMT算法在GAMT算法每次迭代中插入混沌搜索,即在轮盘赌进行轮盘选择下一代之前,对将要被选择的上一代个体进行随机小范围调整。这样做可以弥补原有GA算法收敛过快的缺点。
基于满意度的比例公平算法(SPF)
该算法和前面介绍的GPF算法相似,比GPF算法更加完善,能够考虑不同STA的业务量需求,使STA实际发送的业务量与其待发送业务量成正相关,在确保一定公平性的前提条件下,使得优先级高且业务量多的用户优先被调度并且分配更多频谱资源,使系统频谱利用率在一定程度上得到提升。
类似的,假设整个信道是按照 26-tone、52-tone、106-tone 等规格均等划分,那么若整个信道按 26-tone 划分可得到 M1个RU、按 52-tone 为 M2个RU、106-tone 为 M3个RU、242-tone 为 M4个 RU。
按照MT算法中RU划分的方式,获得第t帧调度的STA的数目N。
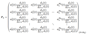
SPF算法使用双准则的公平因子来代替PF算法的比例公平因子,\(STA_i\) 在\(RU_j\)上的调度优先级因子\(p_i^j(t)\) 定义为:
其中,\(\gamma_i^j(t)\) 是PF算法中的公平因子,公式(10)中,前一项将PF算法的公平因子归一化。后一项中\(d_i(t)\) 表示\(STA_i\) 在一轮TXOP内将要发送的业务量,然后归一化。感觉这个公平因子也可以作为GA算法的适应值函数。
对N个STA,和\(M_k\) 个RU分别计算后得到优先级因子矩阵\(P_k\) ,定义为:

在不同的RU规格下,得到各个RU规格上的优先级因子矩阵\(P_1^*,P_2^*,P_3^*,P_4^*,...\)
以下计算以矩阵的列为单位
有N个等待被调度的STA。
从第一列开始,计算各RU规格下优先级因子矩阵\(P_1^*,P_2^*,P_3^*,P_4^*,...\) 的列值,得到 k 列\(P_K^{*1}\) 的值

选取 k列优先级因子中每一列的最大值,得到 k个每列优先级因子的最大值

之后选取 k个最大值中的最大值来确定第一个RU的规格大小,并将该RU分配给\(max(P_k^{*1})\) 下的STA,如果优先级因子最大值相同,则选取规格较小得RU,来增加能同时服务得STA数目。

确定好第一个RU的规格大小和对应得STA之后,读取下一列,计算第二个RU的规格大小,并分配给此规格下,剩余STA中优先级因子最大的STA,直到信道RU资源没有剩余,将剩余STA在第 t+1帧中进行分配。
知识整理
三篇论文{(侯, 2020)、(陈, 2019)、(任, 2016)}都有介绍到802.11ax标准所带来的革新和技术提升,包括OFDMA、UL MU-MIMO等,以及技术实现的原理。
前两篇论文关注的是在802.11ax框架下,基于某个指标,如用户优先级、系统吞吐量,设计出更加合理的SRA方案,最主要的还是公平因子的考量。神奇的是,(侯, 2020)的这篇论文使用了智能算法,当然,也可以理解,因为SRA算法的设计很像数学建模中的优化问题,可能以后大数据和机器学习也会被引入SRA算法的设计。
后一篇论文主要关注长距离场景,对802.11ax标准下MAC层和PHY层分别进行帧结构设计和同步算法设计,使802.11ax更适用于长距离传输场景。
我认为后一篇论文的研究非常有意义,因为WiFi的有效作用距离大概就几十米,能够长距离传输可以让WiFi在与蜂窝移动网络的竞争中获得优势。另外一个可能不切实际的假想是,在飞机集群时,如果某一架飞机充当AP,较长传输距离也会让编队飞行更加灵活,减小被集中打击的可能。

浙公网安备 33010602011771号