11.25笔记
一、Request
a、Request:包含以上两种方式(优先获取GET方式提交的数据),它会在QueryString、Form、ServerVariable中都搜寻一遍。有时候会得到不同的结果。如果仅仅需要Form中的数据,但是使用了Request而不是Request.Form,那么程序将在QueryString、ServerVariable中也搜寻一遍。如果其中有同名的项,就得到不一样的结果。
b、Request.Form:获取以POST方式提交的数据(接收Form提交来的数据);
c、Request.QueryString:获取地址栏参数(以GET方式提交的数据)
在asp.net编程中,QueryString、Form、Cookie是三种比较常见的接收客户端参数的方式。QueryString:接收包含在url中的参数。Form:接收表单数据。Cookie可以获取会话状态中保存的信息(大部分情况下用来存储用户信息)。
二、attr()方法
attr() 方法设置或返回被选元素的属性和值。根据该方法不同的参数,其工作方式也有所差异。
当该方法用于返回属性值,则返回第一个匹配元素的值。
当该方法用于设置属性值,则为匹配元素设置一个或多个属性/值对。
a、attr(属性名) //获取属性的值(取得第一个匹配元素的属性值。通过这个方法可以方便地从第一个匹配元素中获取一个属性的值。如果元素没有相应属性,则返回 undefined )
b、attr(属性名, 属性值) //设置属性的值 (为所有匹配的元素设置一个属性值。)
c、attr(属性名,函数值) //设置属性的函数值 (为所有匹配的元素设置一个计算的属性值。不提供值,而是提供一个函数,由这个函数计算的值作为属性值。)
d、attr(properties) //给指定元素设置多个属性值,即:{属性名一: “属性值一” , 属性名二: “属性值二” , … … }。(这是一种在所有匹配元素中批量设置很多属性的最佳方式。 注意,如果你要设置对象的class属性,你必须使用'className' 作为属性名。或者你可以直接使用'class'或者'id'。)
语法:1)、返回属性的值:$(selector).attr(attribute)
2)、设置属性和值:$(selector).attr(attribute,value)
3)、使用函数设置属性和值:$(selector).attr(attribute,function(index,currentvalue))
4)、设置多个属性和值:$(selector).attr({attribute:value, attribute:value,...})
三、JSON
JSON ( JavaScript Object Notation) ,是一种数据交互格式。JSON 实际上是 JavaScript 的一个子集,所以JSON 的数据格式和 JavaScript 是对应的。
任何把 JavaScript 变成 Json ,就是把这个对象序列化为Json字符串,然后才可以通过网络传递;
如果我们收到一个JSON格式的字符串,只需要把它反序列化成一个JavaScript对象,就可以在JavaScript中直接使用这个对象了。
1、JSON构建于两种结构:
a、"名称/值"对的集合(A collection of name/value pairs).在不同的语言中被理解为对象(Object),记录(Records),结构(struct),字典(dictionary),哈希表(hash table),有键列表(keyed list),或者是关联数组(associative array)
b、值得有序列表(An ordered list of values),在大部分语言中被理解为数据(array)
2、JSON的形式
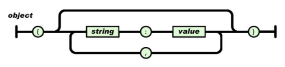
a、对象:对象是一个无序的"'名称/值'对"集合.一个对象以“{”(左括号)开始,“}”(右括号)结束。每个“名称”后跟一个“:”(冒号);“‘名称/值’ 对”之间使用“,”(逗号)分隔。

b、数组:数组是值(value)的有序集合。一个数组以“[”(左中括号)开始,“]”(右中括号)结束。值之间间使用“,”(逗号)分隔。

3、值的内容:a、值(value)可以是双引号括起来的字符串(string)、数值(number)、true、false、 null、对象(object)或者数组(array)。这些结构可以嵌套。
b、数值(number)也与C或者Java的数值非常相似。除去未曾使用的八进制与十六进制格式。除去一些编码细节。
c、字符串(string)是由双引号包围的任意数量Unicode字符的集合,使用反斜线转义。一个字符(character)即一个单独的字符串(character string)。
注意事项:a、JSON 规定字符集是UTF-8,字符串必须使用"",Object 的键也必须使用""
b、数组或对象的最后一个成员,不能加 逗号
<%# %>用于数据绑定,通常是用在数据源控件里,比如GridView,Repeater等。
1、绑定Repeater 基础用法。
<%# Eval("DriverName")%>
2、简单判断用法
<%# Eval("DriverName").ToString()==""?"未知":Eval("DriverName").ToString()%>
3、复杂用法,用一个后台方法,封装,前台输出
<%# ChangeDriverName(Eval("DriverName").ToString())%>
后台代码:
protected string ChangeDriverName(string driverName)
{
if (string.IsNullOrEmpty(driverName))
{
return "wuwuwu";
}
return driverName;
}

浙公网安备 33010602011771号