第12章 决策树
12-1 什么是决策树




Notbook 示例
疑问:改变max_features 的值,图像具有一定随机性



notbook 源码
1 [1] 2 import numpy as np 3 import matplotlib.pyplot as plt 4 [2] 5 from sklearn import datasets 6 7 iris = datasets.load_iris() 8 X = iris.data[:,2:] 9 y = iris.target 10 [3] 11 plt.scatter(X[y==0,0], X[y==0,1]) 12 plt.scatter(X[y==1,0], X[y==1,1]) 13 plt.scatter(X[y==2,0], X[y==2,1]) 14 <matplotlib.collections.PathCollection at 0x2728e9a1ee0> 15 16 [4] 17 from sklearn.tree import DecisionTreeClassifier 18 dt_clf = DecisionTreeClassifier(max_depth=2,max_features=2, criterion='entropy') 19 dt_clf.fit(X,y) 20 DecisionTreeClassifier(criterion='entropy', max_depth=2, max_features=2) 21 [5] 22 def plot_decision_boundary(model, axis): 23 24 x0, x1 = np.meshgrid( 25 np.linspace(axis[0], axis[1], int((axis[1]-axis[0])*100)).reshape(-1,1), 26 np.linspace(axis[2], axis[3], int((axis[3]-axis[2])*100)).reshape(-1,1) 27 ) 28 X_new = np.c_[x0.ravel(), x1.ravel()] 29 30 y_predict = model.predict(X_new) 31 zz = y_predict.reshape(x0.shape) 32 33 from matplotlib.colors import ListedColormap 34 custom_cmap = ListedColormap(['#EF9A9A','#FFF59D','#90CAF9']) 35 36 plt.contourf(x0, x1, zz, linewidth=5, cmap=custom_cmap) 37 [6] 38 plot_decision_boundary(dt_clf, axis=[0.5,7.5,0,3]) 39 plt.scatter(X[y==0,0], X[y==0,1]) 40 plt.scatter(X[y==1,0], X[y==1,1]) 41 plt.scatter(X[y==2,0], X[y==2,1]) 42 C:\Users\Administrator\AppData\Local\Temp\ipykernel_15136\3130018029.py:15: UserWarning: The following kwargs were not used by contour: 'linewidth' 43 plt.contourf(x0, x1, zz, linewidth=5, cmap=custom_cmap) 44 45 <matplotlib.collections.PathCollection at 0x2728f874df0> 46 47 [7] 48 dt_clf2 = DecisionTreeClassifier(max_depth=2,max_features=1, criterion='entropy') 49 dt_clf.fit(X,y) 50 51 plot_decision_boundary(dt_clf, axis=[0.5,7.5,0,3]) 52 plt.scatter(X[y==0,0], X[y==0,1]) 53 plt.scatter(X[y==1,0], X[y==1,1]) 54 plt.scatter(X[y==2,0], X[y==2,1]) 55 C:\Users\Administrator\AppData\Local\Temp\ipykernel_15136\3130018029.py:15: UserWarning: The following kwargs were not used by contour: 'linewidth' 56 plt.contourf(x0, x1, zz, linewidth=5, cmap=custom_cmap) 57 58 <matplotlib.collections.PathCollection at 0x2728f2036a0>
12-2 信息熵







Notbook 示例

Notbook 源码
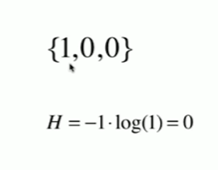
1 信息熵 2 [2] 3 import numpy as np 4 import matplotlib.pyplot as plt 5 [6] 6 def entropy(p): 7 return -p * np.log(p) - (1-p) * np.log(1-p) 8 [7] 9 X = np.linspace(0.01, 0.99, 200) 10 [8] 11 plt.plot(X,entropy(X)) 12 [<matplotlib.lines.Line2D at 0x2c50e4f70a0>]
12-3 使用信息熵寻找最优划分
Notbook 示例

Notbook 源码
1 使用信息熵寻找最优划分 2 [1] 3 import numpy as np 4 import matplotlib.pyplot as plt 5 [2] 6 from sklearn import datasets 7 8 iris = datasets.load_iris() 9 X = iris.data[:,2:] 10 y = iris.target 11 [3] 12 from sklearn.tree import DecisionTreeClassifier 13 dt_clf = DecisionTreeClassifier(max_depth=2,max_features=2, criterion='entropy') 14 dt_clf.fit(X,y) 15 DecisionTreeClassifier(criterion='entropy', max_depth=2, max_features=2) 16 [4] 17 def plot_decision_boundary(model, axis): 18 19 x0, x1 = np.meshgrid( 20 np.linspace(axis[0], axis[1], int((axis[1]-axis[0])*100)).reshape(-1,1), 21 np.linspace(axis[2], axis[3], int((axis[3]-axis[2])*100)).reshape(-1,1) 22 ) 23 X_new = np.c_[x0.ravel(), x1.ravel()] 24 25 y_predict = model.predict(X_new) 26 zz = y_predict.reshape(x0.shape) 27 28 from matplotlib.colors import ListedColormap 29 custom_cmap = ListedColormap(['#EF9A9A','#FFF59D','#90CAF9']) 30 31 plt.contourf(x0, x1, zz, linewidth=5, cmap=custom_cmap) 32 [5] 33 plot_decision_boundary(dt_clf, axis=[0.5,7.5,0,3]) 34 plt.scatter(X[y==0,0], X[y==0,1]) 35 plt.scatter(X[y==1,0], X[y==1,1]) 36 plt.scatter(X[y==2,0], X[y==2,1]) 37 C:\Users\Administrator\AppData\Local\Temp\ipykernel_13528\3130018029.py:15: UserWarning: The following kwargs were not used by contour: 'linewidth' 38 plt.contourf(x0, x1, zz, linewidth=5, cmap=custom_cmap) 39 40 <matplotlib.collections.PathCollection at 0x20ab8e898e0> 41 42 模拟使用信息熵进行划分 43 [6] 44 def split(X, y, d, value): 45 index_a = (X[:,d] <= value) 46 index_b = (X[:,d] > value) 47 return X[index_a], X[index_b], y[index_a],y[index_b] 48 [7] 49 from collections import Counter 50 from math import log 51 52 def entropy(y): 53 counter = Counter(y) 54 res = 0.0 55 for num in counter.values(): 56 p = num / len(y) 57 res += -p * log(p) 58 return res 59 60 def try_split(X, y): 61 62 best_entropy = float('inf') 63 best_d, best_v = -1,1 64 for d in range(X.shape[1]): 65 sorted_index = np.argsort(X[:,d]) 66 for i in range(1,len(X)): 67 if X[sorted_index[i-1],d] != X[sorted_index[i],d]: 68 v = (X[sorted_index[i-1], d] + X[sorted_index[i], d]) / 2 69 X_l, X_r, y_l, y_r = split(X, y, d, v) 70 e = entropy(y_l) + entropy(y_r) 71 if e< best_entropy: 72 best_entropy, best_d,best_v = e, d, v 73 return best_entropy, best_d,best_v 74 75 76 [8] 77 try_split(X,y) 78 (0.6931471805599453, 0, 2.45) 79 [9] 80 best_entropy, best_d, best_v = try_split(X,y) 81 print('best_entropy = ', best_entropy) 82 print("best_d = ", best_d) 83 print("best_v = ",best_v) 84 best_entropy = 0.6931471805599453 85 best_d = 0 86 best_v = 2.45 87 88 [10] 89 X1_l, X1_r, y1_l, y1_r = split(X, y, best_d, best_v) 90 [11] 91 entropy(y1_l) 92 0.0 93 [12] 94 entropy(y1_r) 95 0.6931471805599453 96 [13] 97 best_entropy2, best_d2, best_v2 = try_split(X1_r,y1_r) 98 print('best_entropy2 = ', best_entropy2) 99 print("best_d2 =", best_d2) 100 print("best_v =", best_v2) 101 best_entropy2 = 0.4132278899361904 102 best_d2 = 1 103 best_v = 1.75 104 105 [14] 106 X2_l, X2_r, y2_l, y2_r = split(X1_r, y1_r, best_d2, best_v2) 107 [15] 108 entropy(y2_l) 109 0.30849545083110386 110 [16] 111 entropy(y2_r) 112 0.10473243910508653
12-4 基尼系数


Notbook 示例

Notbook 源码
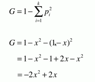
1 基尼系数 2 [1] 3 import numpy as np 4 import matplotlib.pyplot as plt 5 [2] 6 from sklearn import datasets 7 8 iris = datasets.load_iris() 9 X = iris.data[:,2:] 10 y = iris.target 11 [3] 12 from sklearn.tree import DecisionTreeClassifier 13 dt_clf = DecisionTreeClassifier(max_depth=2, max_features=2,criterion='gini') 14 dt_clf.fit(X,y) 15 DecisionTreeClassifier(max_depth=2, max_features=2) 16 [4] 17 def plot_decision_boundary(model, axis): 18 19 x0, x1 = np.meshgrid( 20 np.linspace(axis[0], axis[1], int((axis[1]-axis[0])*100)).reshape(-1,1), 21 np.linspace(axis[2], axis[3], int((axis[3]-axis[2])*100)).reshape(-1,1) 22 ) 23 X_new = np.c_[x0.ravel(), x1.ravel()] 24 25 y_predict = model.predict(X_new) 26 zz = y_predict.reshape(x0.shape) 27 28 from matplotlib.colors import ListedColormap 29 custom_cmap = ListedColormap(['#EF9A9A','#FFF59D','#90CAF9']) 30 31 plt.contourf(x0, x1, zz, linewidth=5, cmap=custom_cmap) 32 [5] 33 plot_decision_boundary(dt_clf, axis=[0.5,7.5,0,3]) 34 plt.scatter(X[y==0,0], X[y==0,1]) 35 plt.scatter(X[y==1,0], X[y==1,1]) 36 plt.scatter(X[y==2,0], X[y==2,1]) 37 C:\Users\Administrator\AppData\Local\Temp\ipykernel_2040\3130018029.py:15: UserWarning: The following kwargs were not used by contour: 'linewidth' 38 plt.contourf(x0, x1, zz, linewidth=5, cmap=custom_cmap) 39 40 <matplotlib.collections.PathCollection at 0x209ca6737c0> 41 42 模拟使用基尼系数划分 43 [6] 44 from collections import Counter 45 from math import log 46 47 def split(X, y, d, value): 48 index_a = (X[:,d] <= value) 49 index_b = (X[:,d] > value) 50 return X[index_a], X[index_b], y[index_a], y[index_b] 51 52 def gini(y): 53 counter = Counter(y) 54 res = 1.0 55 for num in counter.values(): 56 p = num / len(y) 57 res -= p **2 58 return res 59 60 def try_split(X, y): 61 62 best_g = float('inf') 63 best_d, best_v = -1,1 64 for d in range(X.shape[1]): 65 sorted_index = np.argsort(X[:,d]) 66 for i in range(1,len(X)): 67 if X[sorted_index[i-1],d] != X[sorted_index[i],d]: 68 v = (X[sorted_index[i-1], d] + X[sorted_index[i], d]) / 2 69 X_l, X_r, y_l, y_r = split(X, y, d, v) 70 g = gini(y_l) + gini(y_r) 71 if g < best_g: 72 best_g, best_d, best_v = g, d, v 73 74 return best_g, best_d, best_v 75 76 77 [7] 78 best_entropy, best_d, best_v = try_split(X,y) 79 print('best_g = ', best_entropy) 80 print("best_d = ", best_d) 81 print("best_v = ",best_v) 82 best_g = 0.5 83 best_d = 0 84 best_v = 2.45 85 86 [8] 87 X1_l, X1_r, y1_l, y1_r = split(X, y, best_d, best_v) 88 [9] 89 gini(y1_l) 90 0.0 91 [10] 92 gini(y1_r) 93 0.5 94 [11] 95 best_g2, best_d2, best_v2 = try_split(X1_r,y1_r) 96 print('best_g2 = ', best_g2) 97 print("best_d2 =", best_d2) 98 print("best_v =", best_v2) 99 best_g2 = 0.2105714900645938 100 best_d2 = 1 101 best_v = 1.75 102 103 [12] 104 X2_l, X2_r, y2_l, y2_r = split(X1_r, y1_r, best_d2, best_v2) 105 [13] 106 gini(y2_l) 107 0.1680384087791495 108 [14] 109 gini(y2_r) 110 0.04253308128544431
12-5 CART与决策树中的超参数




Notbook 示例

Notbook 源码
1 CART 和 决策树中的超参数 2 [1] 3 import numpy as np 4 import matplotlib.pyplot as plt 5 [2] 6 from sklearn import datasets 7 8 X,y = datasets.make_moons(noise=0.25,random_state=666) 9 [3] 10 plt.scatter(X[y==0,0], X[y==0,1]) 11 plt.scatter(X[y==1,0], X[y==1,1]) 12 <matplotlib.collections.PathCollection at 0x1ac3b9a9160> 13 14 [4] 15 from sklearn.tree import DecisionTreeClassifier 16 dt_clf = DecisionTreeClassifier() 17 dt_clf.fit(X,y) 18 DecisionTreeClassifier() 19 [5] 20 def plot_decision_boundary(model, axis): 21 22 x0, x1 = np.meshgrid( 23 np.linspace(axis[0], axis[1], int((axis[1]-axis[0])*100)).reshape(-1,1), 24 np.linspace(axis[2], axis[3], int((axis[3]-axis[2])*100)).reshape(-1,1) 25 ) 26 X_new = np.c_[x0.ravel(), x1.ravel()] 27 28 y_predict = model.predict(X_new) 29 zz = y_predict.reshape(x0.shape) 30 31 from matplotlib.colors import ListedColormap 32 custom_cmap = ListedColormap(['#EF9A9A','#FFF59D','#90CAF9']) 33 34 plt.contourf(x0, x1, zz, linewidth=5, cmap=custom_cmap) 35 [6] 36 plot_decision_boundary(dt_clf, axis=[-1.5, 2.5, -2.0, 1.5]) 37 plt.scatter(X[y==0,0], X[y==0,1]) 38 plt.scatter(X[y==1,0], X[y==1,1]) 39 C:\Users\Administrator\AppData\Local\Temp\ipykernel_440\3130018029.py:15: UserWarning: The following kwargs were not used by contour: 'linewidth' 40 plt.contourf(x0, x1, zz, linewidth=5, cmap=custom_cmap) 41 42 <matplotlib.collections.PathCollection at 0x1ac3c30a280> 43 44 [7] 45 dt_clf2 = DecisionTreeClassifier(max_depth=2) 46 dt_clf2.fit(X,y) 47 48 plot_decision_boundary(dt_clf2, axis=[-1.5, 2.5, -2.0, 1.5]) 49 plt.scatter(X[y==0,0], X[y==0,1]) 50 plt.scatter(X[y==1,0], X[y==1,1]) 51 C:\Users\Administrator\AppData\Local\Temp\ipykernel_440\3130018029.py:15: UserWarning: The following kwargs were not used by contour: 'linewidth' 52 plt.contourf(x0, x1, zz, linewidth=5, cmap=custom_cmap) 53 54 <matplotlib.collections.PathCollection at 0x1ac3be96f70> 55 56 [8] 57 dt_clf3 = DecisionTreeClassifier(min_samples_split=10) 58 dt_clf3.fit(X,y) 59 60 plot_decision_boundary(dt_clf3, axis=[-1.5, 2.5, -2.0, 1.5]) 61 plt.scatter(X[y==0,0], X[y==0,1]) 62 plt.scatter(X[y==1,0], X[y==1,1]) 63 C:\Users\Administrator\AppData\Local\Temp\ipykernel_440\3130018029.py:15: UserWarning: The following kwargs were not used by contour: 'linewidth' 64 plt.contourf(x0, x1, zz, linewidth=5, cmap=custom_cmap) 65 66 <matplotlib.collections.PathCollection at 0x1ac3bed7f10> 67 68 [9] 69 dt_clf4 = DecisionTreeClassifier(min_samples_leaf=6) 70 dt_clf4.fit(X,y) 71 72 plot_decision_boundary(dt_clf4, axis=[-1.5, 2.5, -2.0, 1.5]) 73 plt.scatter(X[y==0,0], X[y==0,1]) 74 plt.scatter(X[y==1,0], X[y==1,1]) 75 C:\Users\Administrator\AppData\Local\Temp\ipykernel_440\3130018029.py:15: UserWarning: The following kwargs were not used by contour: 'linewidth' 76 plt.contourf(x0, x1, zz, linewidth=5, cmap=custom_cmap) 77 78 <matplotlib.collections.PathCollection at 0x1ac3bf1ff10> 79 80 [10] 81 dt_clf5 = DecisionTreeClassifier(max_leaf_nodes=4) 82 dt_clf5.fit(X,y) 83 84 plot_decision_boundary(dt_clf5, axis=[-1.5, 2.5, -2.0, 1.5]) 85 plt.scatter(X[y==0,0], X[y==0,1]) 86 plt.scatter(X[y==1,0], X[y==1,1]) 87 C:\Users\Administrator\AppData\Local\Temp\ipykernel_440\3130018029.py:15: UserWarning: The following kwargs were not used by contour: 'linewidth' 88 plt.contourf(x0, x1, zz, linewidth=5, cmap=custom_cmap) 89 90 <matplotlib.collections.PathCollection at 0x1ac3bfa26d0>
12-6 决策树解决回归问题




Notbook 示例

Notbook 源码
1 决策树解决回归问题 2 [1] 3 import numpy as np 4 import matplotlib.pyplot as plt 5 [2] 6 from sklearn import datasets 7 8 boston = datasets.load_boston() 9 X = boston.data 10 y = boston.target 11 F:\anaconda\lib\site-packages\sklearn\utils\deprecation.py:87: FutureWarning: Function load_boston is deprecated; `load_boston` is deprecated in 1.0 and will be removed in 1.2. 12 13 The Boston housing prices dataset has an ethical problem. You can refer to 14 the documentation of this function for further details. 15 16 The scikit-learn maintainers therefore strongly discourage the use of this 17 dataset unless the purpose of the code is to study and educate about 18 ethical issues in data science and machine learning. 19 20 In this special case, you can fetch the dataset from the original 21 source:: 22 23 import pandas as pd 24 import numpy as np 25 26 27 data_url = "http://lib.stat.cmu.edu/datasets/boston" 28 raw_df = pd.read_csv(data_url, sep="\s+", skiprows=22, header=None) 29 data = np.hstack([raw_df.values[::2, :], raw_df.values[1::2, :2]]) 30 target = raw_df.values[1::2, 2] 31 32 Alternative datasets include the California housing dataset (i.e. 33 :func:`~sklearn.datasets.fetch_california_housing`) and the Ames housing 34 dataset. You can load the datasets as follows:: 35 36 from sklearn.datasets import fetch_california_housing 37 housing = fetch_california_housing() 38 39 for the California housing dataset and:: 40 41 from sklearn.datasets import fetch_openml 42 housing = fetch_openml(name="house_prices", as_frame=True) 43 44 for the Ames housing dataset. 45 46 warnings.warn(msg, category=FutureWarning) 47 48 [3] 49 from sklearn.model_selection import train_test_split 50 51 X_train, X_test, y_train, y_test = train_test_split(X,y, random_state=666) 52 Decision Tree Regression 53 [5] 54 from sklearn.tree import DecisionTreeRegressor 55 56 dt_reg = DecisionTreeRegressor() 57 dt_reg.fit(X_train,y_train) 58 DecisionTreeRegressor() 59 [6] 60 dt_reg.score(X_test,y_test) 61 0.6892800402527158 62 [7] 63 dt_reg.score(X_train,y_train) 64 1.0
12-7 决策树的局限性







Notbook 示例

Notbook 源码
1 决策树的局限性 2 [1] 3 import numpy as np 4 import matplotlib.pyplot as plt 5 [2] 6 from sklearn import datasets 7 8 iris = datasets.load_iris() 9 X = iris.data[:,2:] 10 y = iris.target 11 [3] 12 from sklearn.tree import DecisionTreeClassifier 13 tree_clf = DecisionTreeClassifier(max_depth=2,max_features=1, criterion='entropy') 14 tree_clf.fit(X,y) 15 DecisionTreeClassifier(criterion='entropy', max_depth=2, max_features=1) 16 [4] 17 def plot_decision_boundary(model, axis): 18 19 x0, x1 = np.meshgrid( 20 np.linspace(axis[0], axis[1], int((axis[1]-axis[0])*100)).reshape(-1,1), 21 np.linspace(axis[2], axis[3], int((axis[3]-axis[2])*100)).reshape(-1,1) 22 ) 23 X_new = np.c_[x0.ravel(), x1.ravel()] 24 25 y_predict = model.predict(X_new) 26 zz = y_predict.reshape(x0.shape) 27 28 from matplotlib.colors import ListedColormap 29 custom_cmap = ListedColormap(['#EF9A9A','#FFF59D','#90CAF9']) 30 31 plt.contourf(x0, x1, zz, linewidth=5, cmap=custom_cmap) 32 [5] 33 plot_decision_boundary(tree_clf, axis=[0.5,7.5,0,3]) 34 plt.scatter(X[y==0,0], X[y==0,1]) 35 plt.scatter(X[y==1,0], X[y==1,1]) 36 plt.scatter(X[y==2,0], X[y==2,1]) 37 C:\Users\Administrator\AppData\Local\Temp\ipykernel_17836\3130018029.py:15: UserWarning: The following kwargs were not used by contour: 'linewidth' 38 plt.contourf(x0, x1, zz, linewidth=5, cmap=custom_cmap) 39 40 <matplotlib.collections.PathCollection at 0x1b8f722d8e0> 41 42 [6] 43 X_new = np.delete(X, 138, axis=0) 44 y_new = np.delete(y, 138) 45 [7] 46 X_new.shape 47 (149, 2) 48 [8] 49 y_new.shape 50 (149,) 51 [9] 52 tree_clf2 = DecisionTreeClassifier(max_depth=2,criterion='entropy') 53 tree_clf2.fit(X_new,y_new) 54 DecisionTreeClassifier(criterion='entropy', max_depth=2) 55 [10] 56 plot_decision_boundary(tree_clf2, axis=[0.5,7.5,0,3]) 57 plt.scatter(X[y==0,0], X[y==0,1]) 58 plt.scatter(X[y==1,0], X[y==1,1]) 59 plt.scatter(X[y==2,0], X[y==2,1]) 60 C:\Users\Administrator\AppData\Local\Temp\ipykernel_17836\3130018029.py:15: UserWarning: The following kwargs were not used by contour: 'linewidth' 61 plt.contourf(x0, x1, zz, linewidth=5, cmap=custom_cmap) 62 63 <matplotlib.collections.PathCollection at 0x1b8f6bba6a0>



浙公网安备 33010602011771号