群优化方法之混沌映射初始化
在优化领域,混沌映射可以用于替代伪随机数生成器,生成0到1之间的混沌数。经实验证明,利用混沌序列进行种群初始化、选择、交叉和变异等操作会影响算法的整个过程,而且常常能取得比伪随机数更好的效果。下面给出部分常用于群体智能领域的混沌序列
1、Logistic 映射,又称虫口映射

其中, ,
。
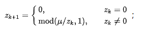
2、PWLCM映射

3、Singer映射

其中,当 时,Singer 映射具有混沌行为。
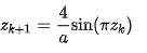
4、Sine 映射

Sine 映射是一种单峰映射,并且值域为 ,其中
5、Gussian映射

6. Tent 映射,又称帐篷映射
;
7. Bernoulli 映射
8. Chebyshev 映射
;
9. Circle 映射
;
其中
10. Cubic 映射(最常见的混沌映射之一)
11. Sinusoidal 映射
;
12. ICMIC 映射(无限折叠迭代混沌映射)
;
其中 .

浙公网安备 33010602011771号