[树链剖分]剖开表象看本质
本文中 \(\operatorname{LCA}(a,b)\) 指 \(a\),\(b\) 两节点的最近公共祖先
引入
考虑两个在树上的操作
- 将树从 \(x\) 到 \(y\) 结点最短路径上所有节点的值都加上 \(z\)
这个操作很简单,用树上差分,对于节点 \(x\),\(y\),\(\operatorname{LCA}(x,y)\)进行修改 就可以在 \(\mathcal O(1)\) 内解决。 - 求出树从 \(x\) 到 \(y\) 结点最短路径上所有节点的值之和
这个操作也很简单,先预处理出树上前缀和 \(sum\),则 \(ans = sum_x+sum_y+sum_{\operatorname{LCA}(x,y)}\),复杂度 \(\mathcal O (\log n)\)
但如果把两个操作结合到一起呢?
这样子就不简单了,因为如果按上述方法维护,每次2操作前都得求一遍 \(sum\)。
那,有没有可以快速维护这些操作的数据结构呢?
树链剖分
前置芝士:线段树,DFS序。
DFN
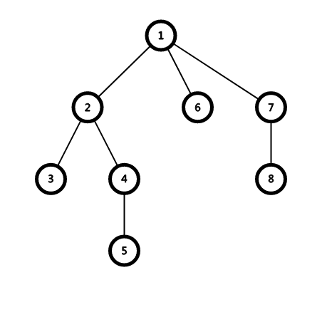
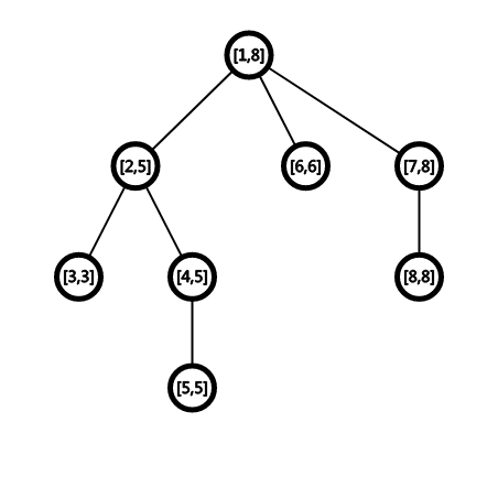
字面意思,就是DFS遍历的顺序,这里我们称其为 DFN。
比如下图这棵树,它的 DFN 长这样

不难发现,一颗子树的所有节点的 DFN 构成一个连续的区间。

那么每个节点都对应着一段区间,就可以将类似于“把以某节点为根的子树中所有节点的值相加 \(x\)”的操作用线段树维护。
重链剖分
树链剖分分几种,其中最常用的就是重链剖分。
先弄清楚重链剖分的一些概念:
- 重儿子:子树节点最多的儿子
- 轻儿子:除重儿子其他的节点
- 重边:父亲节点和重儿子之间的边
- 轻边:父亲节点和轻儿子之间的边
- 重链:多条重边组成的链
- 轻链:多条轻边组成的链

节点
为了更好地维护

浙公网安备 33010602011771号