第三章 系统配置与性能评价

 

计算机系统性能指标

可靠性或可用性

 

处理能力或效率:又可分为三类指标

1、吞吐率(系统在单位时间内能正常处理正常作业的个数)

2、响应时间(从系统得到输入到给出输出之间的时间)

3、资源利用率,即在给定的时间区间中,各种部件(包括硬件设备和软件系统)被使用的时间与整个时间之比。

 

计算机硬件性能指标

主频和CPU时钟周期:主频又称为时钟频率,时钟周期是时钟频率的倒数。(主频1GHZ,1秒有1G个时钟周期,每个时钟周期为1/1G=1ns)

指令周期:取出并执行一条指令的时间

总线周期:完成一次总线操作的时间

关系:一个指令周期由若干个总线周期组成,一个总线周期又包含若干个时钟周期

MIPS:百万指令每秒,每秒处理的百万级的机器语言指令数

 

性能评价方法

时钟频率法:以时钟频率高低衡量速度。

指令执行速度法:用加法指令的运算速度来衡量计算机的速度,表示机器运算速度的单位是MIPS。

等效指令速度法:(吉普森混合法 或 混合比例计算法)通过各类指令在程序中所占的比例进行计算得到的。

 

综合理论性能法CTP

算出处理部件每个计算单元的有效计算率,再按不同字长加以调整,得出该计算单元的理论性能,所有组成该处理部件的计算单元的理论性能之和为CTP

基准程序法:用的最多、最频繁的那部分核心程序作为评估计算机系统性能的标准程序,称为基准测试程序

 

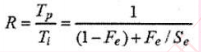
阿姆达尔解决方案

某组件采用某种更快的执行方式,所获得的系统性能的改变程度,取决于该组件被使用的频率,或所占总执行时间的比例,加速比公式:

 

 Tp:不使用改进组件时完成整个任务的时间,Ti使用改进组件时完成整个任务的时间

 

posted @ 2021-04-28 17:16  5_FireFly  阅读(311)  评论(0)    收藏  举报
web
counter