摘要:
欢迎来到我的友链小屋 展示本站所有友情站点,排列不分先后,均匀打乱算法随机渲染的喔! 友链信息 博客名称:麋鹿鲁哟博客网址:https://www.cnblogs.com/miluluyo/博客头像:https://pic.cnblogs.com/avatar/1273193/20190806180 阅读全文
posted @ 2023-04-14 21:49
laotangfighting
阅读(9)
评论(0)
推荐(0)
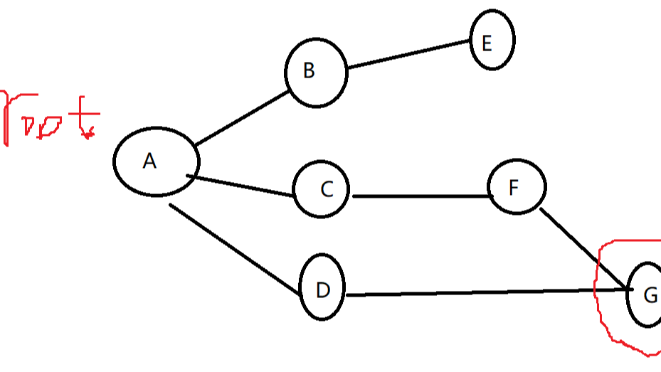
摘要:
队列的广度优先搜索 实现语言:Java 实现前提条件:了解Java的队列的实现与应用 注明:模板来源:力扣(广度优先搜索模板) ==要求==:输入根节点和目标节点,找到根节点到目标节点的最短距离。 思路: 先将根节点加入队列,进行判断当前节点是否为目标节点。 当前节点非目标节点,循环加入邻居节点(孩 阅读全文
队列的广度优先搜索 实现语言:Java 实现前提条件:了解Java的队列的实现与应用 注明:模板来源:力扣(广度优先搜索模板) ==要求==:输入根节点和目标节点,找到根节点到目标节点的最短距离。 思路: 先将根节点加入队列,进行判断当前节点是否为目标节点。 当前节点非目标节点,循环加入邻居节点(孩 阅读全文
posted @ 2023-04-14 21:12
laotangfighting
阅读(6)
评论(0)
推荐(0)

浙公网安备 33010602011771号