数学知识学习(持续更新)(提高组)
数学知识学习(持续更新)
Ⅰ 质数
⒈ 试除法
⑴ 判定素数
时间复杂度: Θ ( n ) \Theta(\sqrt{n}) Θ(n)
#include <bits/stdc++.h>
using namespace std;
bool isPrime(int x)
{
if (x < 2)
return false;
for (int i = 2; i <= x / i; i ++ )
{
if (x % i == 0)
return false;
}
return true;
}
int main()
{
int n;
cin >> n;
while (n -- )
{
int x;
cin >> x;
if (isPrime(x))
cout << "Yes" << endl;
else
cout << "No" << endl;
}
return 0;
}
⑵ 分解质因数
时间复杂度: Θ ( log n ) \Theta(\log n) Θ(logn)与 Θ ( n ) \Theta(\sqrt{n}) Θ(n)之间
#include <bits/stdc++.h>
using namespace std;
void isPrime(int x)
{
for (int i = 2; i <= x / i; i ++ )
{
if (x % i == 0)
{
int s = 0;
while (x % i == 0)
x /= i, ++s;
cout << i << " " << s << "\n";
}
}
if (x > 1)
cout << x << " " << 1 << "\n";
cout << "\n";
}
int main()
{
int n;
cin >> n;
while (n -- )
{
int x;
cin >> x;
isPrime(x);
}
return 0;
}
⒉ 埃氏筛
原理:
将 1 1 1 ~ n n n 排成一行,从第1个开始,在每个数上向后把这个数的倍数全部筛掉,这样就可以只剩下质数了。
时间复杂度: Θ ( n log log n ) \Theta(n\log \log n) Θ(nloglogn)
附:一般, log log n \log \log n loglogn 会忽略不计,也就是说,时间复杂度近似 Θ ( n ) \Theta(n) Θ(n)。但是,真正能做到 Θ ( n ) \Theta(n) Θ(n) 的算法是下一个算法——线性筛。
Code - 模板
int primes[N], cnt;
bool st[N];
void ass(int n)//埃氏筛模板
{
for (int i = 2; i <= n; ++i)
{
if (!st[i])
{
primes[cnt++] = n;
for (int j = i + i; j <= n; j += i)
st[j] = true;
}
}
}
Code - 用法
int main()
{
int n;
cin >> n;
ass(n);
cout << cnt;
return 0;
}
记
我们发现这里面似乎会对某些数标记了很多次其为合数。有没有什么办法省掉无意义的步骤呢?请看下一个算法!
⒊ 线性筛法(埃氏筛优化)
优化方式:
我们在上一个算法中提到埃氏筛会对某些数标记了很多次其为合数,如果能让每个合数都只被标记一次,那么时间复杂度就可以降到 Θ ( n ) \Theta(n) Θ(n)了。
时间复杂度: Θ ( n ) \Theta(n) Θ(n)
Code - 模板
const int N = 1000010;
int primes[N], cnt;
bool st[N];
void xxs(int n)//线性筛模板
{
for (int i = 2; i <= n; ++i)
{
if (!st[i])
primes[cnt++] = i;
for (int j = 0; primes[j] <= n / i; ++j)
{
st[primes[j]*i] = true;
if (i % primes[j] == 0)
break;
}
}
}
Code - 用法
int main()
{
int n;
cin >> n;
xxs(n);
cout << cnt;
return 0;
}
分析
对于代码 if(i%primes[j]==0)break;,
n
n
n 只会被最小的质因子筛掉。
证明如下:
这里,我们分两种情况来讨论。
i%primes[j]==0,则primes[j]一定是i的最小质因子,primes[j]也一定是primes[j]*i的最小质因子。i%primes[j]!=0,则primes[j]一定小于i的所有质因子,primes[j]也一定是primes[j]*i的最小质因子。
证毕!
Ⅱ 约数
⒈ 试除法求约数
时间复杂度: Θ ( n ) \Theta(\sqrt{n}) Θ(n)
Code - 模板
vector<int> get_divisors(int n)\\试除法求约数模板
{
vector<int> res;
for (int i = 1; i <= n / i; ++i)
{
if (n % i == 0)
{
res.push_back(i);
if (i != n / i)
res.push_back(n / i);
}
}
sort(res.begin(), res.end());\\不必要时可以不加
return res;
}
注意:这个模板求的约数是以 vector 的类型返回的,所以,在使用时,要小心。具体使用方法看下面的用法代码。
Code - 用法
int x;
cin >> x;
auto res = get_divisors(x);
for (auto t : res)
cout << t << " ";
⒉ 约数个数与约数和专题
0 注
本小节的内容部分摘自这里
⑴ 基本定理
算术基本定理:设 n = p 1 r 1 p 2 r 2 p 3 r 3 ⋯ p k r k n={p_1}^{r_1}{p_2}^{r_2}{p_3}^{r_3}\cdots{p_k}^{r_k} n=p1r1p2r2p3r3⋯pkrk
约数个数公式: d ( n ) = ( r 1 + 1 ) × ( r 2 + 1 ) × ( r 3 + 1 ) × ⋯ × ( r k + 1 ) d(n)=(r_1+1)\times(r_2+1)\times(r_3+1)\times\cdots\times(r_k+1) d(n)=(r1+1)×(r2+1)×(r3+1)×⋯×(rk+1)
约数和公式: σ ( n ) = ∏ i = 1 k ( ∑ j = 0 r i p i j ) \sigma(n)=\prod\limits_{i=1}^k\left(\sum\limits_{j=0}^{r_i}{p_i}^{j}\right) σ(n)=i=1∏k(j=0∑ripij)
⑵ 求单个数的约数个数
#include <bits/stdc++.h>
using namespace std;
typedef long long LL;
/**
* 功能:计算约数个数
* @param n
* @return
*/
LL getDivisorCount(LL x)
{
unordered_map<int, int> primes; //key:质数 value:个数
//求质数因子
for (int i = 2; i <= x / i; i++)
while (x % i == 0) x /= i, primes[i]++; //primes[i]表示质数i因子的个数+1
//如果还有质数,那就加上
if (x > 1) primes[x]++;
//公式大法
LL res = 1;
for (auto p: primes) res = res * (p.second + 1);
return res;
}
LL res;
int main()
{
int n;
cin >> n;
for (int i = 1; i <= n; i++) cout << i << " " << getDivisorCount(i) << endl;
return 0;
}
⑶ 求数字连乘积的约数个数
#include <bits/stdc++.h>
using namespace std;
const int mod = 1e9 + 7;
int main()
{
int n;
cin >> n;
unordered_map<int, int> primes;
while (n--)
{
int x;
cin >> x;
for (int i = 2; i <= x / i; ++i)
{
while (x % i == 0)
{
x /= i;
++primes[i];
}
}
if (x > 1)
++primes[x];
}
long long res = 1;
for (auto prime : primes)
res = res * (prime.second + 1) % mod;
cout << res;
}
⑷ 求单个数字的约数和
#include <bits/stdc++.h>
using namespace std;
typedef long long LL;
/**
* 功能:计算约数之和
* @param n
* @return
*/
LL getSumOfDivisors(LL x)
{
//拆出所有质数因子及质数因子个数
unordered_map<int, int> primes;
for (int i = 2; i <= x / i; i++)
while (x % i == 0)
{
x /= i;
primes[i]++;
}
if (x > 1) primes[x]++;
//计算约数个数
LL res = 1;
for (auto p : primes)
{
LL a = p.first, b = p.second;
LL t = 1;
while (b--) t = (t * a + 1);
res = res * t;
}
return res;
}
LL res;
int main()
{
int n;
cin >> n;
cout<<getSumOfDivisors(n) << endl;
return 0;
}
⑸ 求数字连乘积的约数和
#include <bits/stdc++.h>
using namespace std;
typedef long long ll;
const int mod = 1e9 + 7;
unordered_map<int, int> primes;
int main()
{
int n, x;
cin >> n;
while (n--)
{
cin >> x;
for (int i = 2; i <= x / i; i++)
{
while (x % i == 0)
{
primes[i]++;
x /= i;
}
}
if (x > 1)
primes[x]++;
}
ll res = 1;
for (auto p : primes)
{
ll a = p.first, b = p.second;
ll t = 1;
while (b--)
t = (t * a + 1) % mod;
res = res * t % mod;
}
cout << res << endl;
return 0;
}
⑹ 筛法求区间内的约数个数与约数和
#include <bits/stdc++.h>
using namespace std;
typedef long long LL;
/**
* 功能:线性筛出约数个数与约数和
* Tag:模板,约数个数,约数和
*/
const int N = 1e6 + 10;
int n;
int primes[N]; //质数数组
int idx; //质数数组下标游标
bool st[N]; //是否已被筛出
int d[N]; //约数个数数组
int sigma[N]; //约数和数组
void get_divisor(int n)
{
//积性函数的出发值
d[1] = sigma[1] = 1;
for (int i = 2; i <= n; i++) //倍数
{
if (!st[i])primes[++idx] = i, d[i] = 2, sigma[i] = i + 1;
for (int j = 1; i * primes[j] <= n & j <= idx; j++)
{
st[i * primes[j]] = true;
d[i * primes[j]] = d[i] << 1;
sigma[i * primes[j]] = sigma[i] * (primes[j] + 1);
if (i % primes[j] == 0)
{
d[i * primes[j]] -= d[i / primes[j]];
sigma[i * primes[j]] -= primes[j] * sigma[i / primes[j]];
break;
}
}
}
}
LL res;
int main()
{
cin >> n;
//开始筛约数个数,约数和
get_divisor(n);
//输出约数个数和
for (int i = 1; i <= n; i++) res += d[i];
cout << res << endl;
return 0;
}
⑺辗转相除法求最大公约数
#include <bits/stdc++.h>
using namespace std;
int gcd(int a, int b)
{
return b ? gcd(b, a % b) : a;
}
int main()
{
int n;
cin >> n;
while (n -- )
{
int a, b;
scanf("%d%d", &a, &b);
printf("%d\n", gcd(a, b));
}
return 0;
}
Ⅲ 欧拉函数
定义
在数论,对正整数 n n n,欧拉函数是小于等于 n n n 的正整数中与 n n n 互质的数的数目。
定理
设 n = p 1 r 1 p 2 r 2 p 3 r 3 ⋯ p k r k n={p_1}^{r_1}{p_2}^{r_2}{p_3}^{r_3}\cdots{p_k}^{r_k} n=p1r1p2r2p3r3⋯pkrk
那么 φ ( n ) = n × ( 1 − 1 p 1 ) × ( 1 − 1 p 2 ) × ⋯ × ( 1 − 1 p k ) \varphi(n) = n\times\left(1 - \dfrac{1}{p_1}\right) \times \left(1 - \dfrac{1}{p_2}\right) \times\cdots\times\left(1 - \dfrac{1}{p_k}\right) φ(n)=n×(1−p11)×(1−p21)×⋯×(1−pk1)
Code - 求单个数的欧拉函数
#include <bits/stdc++.h>
using namespace std;
int main()
{
int n;
cin >> n;
while (n--)
{
int a;
cin >> a;
int res = a;
for (int i = 2; i <= a / i; ++i)
{
if (a % i == 0)
{
res = res / i * (i - 1);
while (a % i == 0)
a /= i;
}
}
if (a > 1)
res = res / a * (a - 1);
cout << res << endl;
}
return 0;
}
求 1 1 1 到 n n n 的欧拉函数之和(欧拉筛)
分析

Code
#include <bits/stdc++.h>
using namespace std;
const int N = 1000005;
int n, phi[N], prime[N], cnt;
bool st[N];
long long get_euler(int x)
{
phi[1] = 1;
for (int i = 2; i <= x; i++)
{
if (!st[i])
{
prime[cnt++] = i;
phi[i] = i - 1;
}
for (int j = 0; prime[j] <= x / i; j++)
{
st[i * prime[j]] = true;
if (i % prime[j] == 0)
{
phi[i * prime[j]] = prime[j] * phi[i];
break;
}
else
phi[i * prime[j]] = (prime[j] - 1) * phi[i];
}
}
long long res = 0;
for (int i = 1; i <= x; i++)
res += phi[i];
return res;
}
int main()
{
cin >> n;
cout << get_euler(n) << endl;
return 0;
}
Ⅳ 快速幂
⒈快速幂
引
让我们先来思考一个问题: 7 10 7^{10} 710 怎样算比较快?
方法1:最朴素的想法是 7 × 7 = 49 , 49 × 7 = 343 , ⋯ 7\times7=49, 49\times7=343, \cdots 7×7=49,49×7=343,⋯,一步一步算,共进行了 9 9 9 次乘法。这样算无疑太慢了,尤其对计算机而言,每次运算只乘上一个个位数,无疑太屈才了。这时我们想到,也许可以拆分问题。
方法2:先算 7 5 7^5 75,再算它的平方,共进行了 5 5 5 次乘法。但这并不是最优解,因为对于 7 5 7^5 75,我们仍然可以拆分问题。
方法3:先算 7 × 7 = 49 7\times7=49 7×7=49,则 7 5 = 49 × 49 × 7 7^5=49\times49\times7 75=49×49×7,再算它的平方,共进行了 4 4 4 次乘法。
模仿这样的过程,我们得到一个在 Θ ( log n ) \Theta(\log n) Θ(logn) 时间内计算出幂的算法,也就是快速幂。
递归快速幂
递归方程:
a n = { a n − 1 ⋅ a , if n is odd a n 2 ⋅ a n 2 , if n is even but not 0 1 , if n = 0 a^n=\begin{cases}a^{n-1}\cdot a,&\text{if }n\text{ is odd}\\a^{\frac{n}{2}}\cdot a^{\frac{n}{2}},&\text{if }n\text{ is even but not 0}\\1,&\text{if }n=0\end{cases} an=⎩⎪⎨⎪⎧an−1⋅a,a2n⋅a2n,1,if n is oddif n is even but not 0if n=0
Code
//递归快速幂
int qpow(int a, int n)
{
if (n == 0)
return 1;
else if (n % 2 == 1)
return qpow(a, n - 1) * a;
else
{
int temp = qpow(a, n / 2);
return temp * temp;
}
}
//递归快速幂(对大素数取模)
#define MOD 1000000007
typedef long long ll;
ll qpow(ll a, ll n)
{
if (n == 0)
return 1;
else if (n % 2 == 1)
return qpow(a, n - 1) * a % MOD;
else
{
ll temp = qpow(a, n / 2) % MOD;
return temp * temp % MOD;
}
}
注 大家知道,递归虽然简洁,但会产生额外的空间开销。我们可以把递归改写为循环,来避免对栈空间的大量占用,也就是非递归快速幂。
非递归快速幂
Code
//非递归快速幂
int qpow(int a, int n){
int ans = 1;
while(n){
if(n&1) //如果n的当前末位为1
ans *= a; //ans乘上当前的a
a *= a; //a自乘
n >>= 1; //n往右移一位
}
return ans;
}
快速幂模板题
[acwing] 875 - 快速幂
#include <bits/stdc++.h>
using namespace std;
inline int read()
{
register int x = 0, f = 1;
char ch = getchar();
while (ch < '0' || ch > '9')
{
if (ch == '-')
f = -1;
ch = getchar();
}
while (ch >= '0' && ch <= '9')
{
x = (x << 1) + (x << 3) + (ch ^ 48);
ch = getchar();
}
return x * f;
}
inline long long qmi(int a, int k, int p)
{
long long res = 1;
while (k)
{
if (k & 1)
res = (long long) res * a % p;
k >>= 1;
a = (long long) a * a % p;
}
return res;
}
int main()
{
register int n = read();
while (n--)
{
register int a, k, p;
a = read(), k = read(), p = read();
printf("%d\n", qmi(a, k, p));
}
return 0;
}
⒉ 快速幂求乘法逆元
定义
若整数 b , m b,m b,m 互质,并且 b ∣ a b\mid a b∣a,则存在一个整数 x x x,使得 a b ≡ a ⋅ x ( m o d m ) \frac{a}{b}\equiv a\cdot x\ \pmod{m} ba≡a⋅x (modm),则称 x x x 为 b b b 的模 m m m 乘法逆元,记为 b − 1 ( m o d m ) b^{-1}\ \pmod{m} b−1 (modm)。
b b b 存在乘法逆元的充要条件是 b b b 与模数 m m m 互质。当模数 m m m 为质数时, b m − 2 b^{m-2} bm−2 即为 b b b 的乘法逆元。
模板
[acwing] 876 - 快速幂求逆元
#include <bits/stdc++.h>
using namespace std;
int qmi(int a, int k, int p)
{
int res = 1 % p;
while (k)
{
if (k & 1)
res = (long long)res * a % p;
a = (long long)a * a % p;
k >>= 1;
}
return res;
}
int main()
{
int n;
scanf("%d", &n);
for (register int i(1); i <= n; ++i)
{
int a, b;
scanf("%d%d", &a, &b);
if (a % b == 0)
printf("impossible\n");
else
printf("%d\n", qmi(a, b - 2, b));
}
return 0;
}
⒊ 扩展欧几里得算法(exgcd)
⑴ 裴蜀定理
裴蜀定理,又称贝祖定理(Bézout’s lemma)。是一个关于最大公约数的定理。
其内容是:设 a , b a,b a,b 是不全为零的整数,则存在整数 x , y x,y x,y, 使得 a x + b y = gcd ( a , b ) ax+by=\text{gcd}\left(a,b\right) ax+by=gcd(a,b).
证明
若任何一个等于 0 0 0, 则 gcd ( a , b ) = a \text{gcd}\left(a,b\right)=a gcd(a,b)=a. 这时定理显然成立。
若 a , b a,b a,b 不等于 0 0 0.
由于 gcd ( a , b ) = gcd ( a , − b ) \text{gcd}\left(a,b\right)=\text{gcd}\left(a,-b\right) gcd(a,b)=gcd(a,−b),
不妨设 a , b a,b a,b 都大于 0 0 0, a ≥ b , gcd ( a , b ) = d a\geq b,\text{gcd}\left(a,b\right)=d a≥b,gcd(a,b)=d.
对 a x + b y = d ax+by=d ax+by=d, 两边同时除以 d d d, 可得 a 1 x + b 1 y = 1 a_1x+b_1y=1 a1x+b1y=1, 其中 ( a 1 , b 1 ) = 1 \left(a_1,b_1\right)=1 (a1,b1)=1.
转证 a 1 x + b 1 y = 1 a_1x+b_1y=1 a1x+b1y=1.
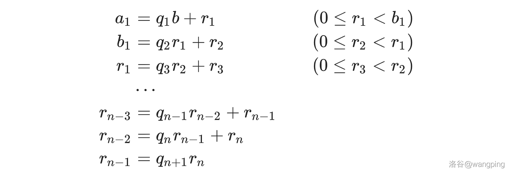
我们先回顾一下辗转相除法是怎么做的,由 gcd ( a , b ) → gcd ( b , a mod b ) → ⋯ \text{gcd}\left(a,b\right)\to\text{gcd}\left(b,a\text{ mod }b\right)\to\cdots gcd(a,b)→gcd(b,a mod b)→⋯ 我们把模出来的数据叫做 r r r 于是,有
gcd ( a 1 , b 1 ) = gcd ( b 1 , r 1 ) = gcd ( r 1 , r 2 ) = ⋯ = ( r n − 1 , r n ) = 1 \text{gcd}\left(a_1,b_1\right)=\text{gcd}\left(b_1,r_1\right)=\text{gcd}\left(r_1,r_2\right)=\cdots=\left(r_{n-1},r_n\right)=1 gcd(a1,b1)=gcd(b1,r1)=gcd(r1,r2)=⋯=(rn−1,rn)=1
把辗转相除法中的运算展开,做成带余数的除法,得

不妨令辗转相除法在除到互质的时候退出则 r n = 1 r_n=1 rn=1 所以有( q q q 被换成了 x x x,为了符合最终形式)
r n − 2 = x n r n − 1 + 1 r_{n-2}=x_nr_{n-1}+1 rn−2=xnrn−1+1
即
1 = r n − 2 − x n r n − 1 1=r_{n-2}-x_nr_{n-1} 1=rn−2−xnrn−1
由倒数第三个式子 r n − 1 = r n − 3 − x n − 1 r n − 2 r_{n-1}=r_{n-3}-x_{n-1}r_{n-2} rn−1=rn−3−xn−1rn−2 代入上式,得
1 = r n − 2 ( 1 + x n x n − 1 ) − x n r n − 3 1=r_{n-2}\left(1+x_nx_{n-1}\right)-x_nr_{n-3} 1=rn−2(1+xnxn−1)−xnrn−3
然后用同样的办法用它上面的等式逐个地消去 r n − 2 , ⋯ , r 1 r_{n-2},\cdots,r_1 rn−2,⋯,r1,
可证得 a 1 x + b 1 y = 1 a_1x+b_1y=1 a1x+b1y=1. 这样等于是一般式中 d = 1 d=1 d=1 的情况。
⑵ 扩展欧几里得算法
扩展欧几里得算法是欧几里得算法(又叫辗转相除法)的扩展。已知整数 a , b a,b a,b,扩展欧几里得算法可以在求得 a , b a,b a,b 的最大公约数的同时,能找到整数 x , y x,y x,y(其中一个很可能是负数),使它们满足裴蜀定理。
模板
int exgcd(int a, int b, int &x, int &y)
{
if (!b)
{
x = 1, y = 0;
return a;
}
int d = exgcd(b, a % b, y, x);
y -= a / b * x;
return d;
}
模板题
[acwing] 876 - 扩展欧几里得算法
Code
#include <bits/stdc++.h>
using namespace std;
int exgcd(int a, int b, int &x, int &y)
{
if (!b)
{
x = 1, y = 0;
return a;
}
int d = exgcd(b, a % b, y, x);
y -= a / b * x;
return d;
}
int main()
{
int n;
scanf("%d", &n);
while (n--)
{
int a, b, x, y;
scanf("%d%d", &a, &b);
exgcd(a, b, x, y);
printf("%d %d\n", x, y);
}
}
⑶ 线性同余方程
解形如 a x ≡ b ( mod m ) ax≡b(\text{mod }m) ax≡b(mod m) 的方程。
根据上面同余的理论可以得到 a x − b ≡ 0 ( mod m ) ax-b≡0(\text{mod }m) ax−b≡0(mod m)。
所以 m ∣ a x − b m|ax-b m∣ax−b,设 a x − b = − m k ax-b=-mk ax−b=−mk,可以得到一个不定方程 a x + m k = b ax+mk=b ax+mk=b。
解这个不定方程即可。
我们从这可以得出如果 gcd ( a , m ) ∤ b \gcd(a,m)∤b gcd(a,m)∤b 方程无解
Code - 模板
#include <bits/stdc++.h>
using namespace std;
inline int exgcd(int a, int b, int &x, int &y)
{
if (!b)
{
x = 1, y = 0;
return a;
}
int d = exgcd(b, a % b, y, x);
y -= a / b * x;
return d;
}
int main()
{
int n;
cin >> n;
while (n--)
{
int a, b, m;
cin >> a >> b >> m;
int x, y;
int d = exgcd(a, m, x, y);
if (b % d)
puts("impossible");
else
printf("%d\n", (long long) b / d * x % m);
}
return 0;
}
⒋ 中国剩余定理
⑴ 算法简介及过程(来自OI Wiki)
中国剩余定理 (Chinese Remainder Theorem, CRT) 可求解如下形式的一元线性同余方程组(其中 n 1 , n 2 , ⋯ , n k n_1,n_2,\cdots,n_k n1,n2,⋯,nk 两两互质):
{ x ≡ a 1 ( m o d n 1 ) x ≡ a 2 ( m o d n 2 ) ⋮ x ≡ a k ( m o d n k ) \begin{cases}x&\equiv a_1\pmod{n_1}\\x&\equiv a_2\pmod{n_2}\\ &\vdots\\x&\equiv a_k\pmod{n_k}\\ \end{cases} ⎩⎪⎪⎪⎪⎨⎪⎪⎪⎪⎧xxx≡a1(modn1)≡a2(modn2)⋮≡ak(modnk)
⑵ C 语言代码(来自OI Wiki)
// C++ Version
LL CRT(int k, LL* a, LL* r) {
LL n = 1, ans = 0;
for (int i = 1; i <= k; i++) n = n * r[i];
for (int i = 1; i <= k; i++) {
LL m = n / r[i], b, y;
exgcd(m, r[i], b, y); // b * m mod r[i] = 1
ans = (ans + a[i] * m * b % mod) % mod;
}
return (ans % mod + mod) % mod;
}
⑶ 典型习题
表达整数的奇怪方式
思路

代码(最近不知跟哪位大佬学的,离奇的码风↓)
#include<bits/stdc++.h>
#define _abs(x) (x^(x>>31))-(x >> 31)
#define qwq long long exgcd(long long a, long long b, long long &x, long long &y){if (!b){x = 1, y = 0;return a;}long long d = exgcd(b, a % b, y, x);y -= a / b * x;return d;}
using namespace std;
qwq
int main()
{
int n;
cin >> n;
long long x = 0, a1, m1;
cin >> a1 >> m1;
for (register int i(0); i < n - 1; ++i)
{
long long a2, m2;
cin >> a2 >> m2;
long long k1, k2, d = exgcd(a1, -a2, k1, k2);
if ((m2 - m1) % d)
{
x = -1;
break;
}
k1 *= (m2 - m1) / d;
k1 = (k1 % (a2 / d) + a2 / d) % (a2 / d);
x = k1 * a1 + m1;
long long a = _abs(a1 / d * a2);
m1 = k1 * a1 + m1;
a1 = a;
}
if (x != -1) x = (x % a1 + a1) % a1;
cout << x << endl;
return 0;
}

浙公网安备 33010602011771号