瑞利信道下PSK水声通信系统均衡技术
一、系统模型与信道特性
-
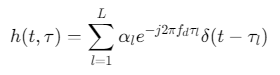
瑞利信道建模
水声信道因多径效应、时变性和多普勒频移呈现瑞利衰落特性,其信道响应可建模为:
![]()
其中\(αl\)为路径增益(瑞利分布),\(f_d\)为多普勒频移,\(τl\)为时延。
-
PSK调制与解调 BPSK调制:将比特流映射为±1相位,抗噪声性能强但需精确载波同步。 DPSK调制:通过相邻符号相位差传递信息,无需载波估计,适合动态信道。 解调采用相干检测或差分解调,需补偿信道引起的相位偏移。
二、均衡技术实现方案
-
时域自适应均衡
-
LMS算法:梯度下降优化权值,适应信道时变特性。
% LMS均衡核心代码 w = zeros(N,1); % 均衡器抽头系数 mu = 0.01; % 步长因子 for n = 1:length(y) x = y(n:-1:n-N+1); e = d(n) - w'*x; w = w + mu*e*conj(x); end -
RLS算法:递推最小二乘法,收敛速度更快,但计算复杂度高。
-
-
频域均衡
-
FFT-IFFT补偿:将时域信号转换至频域,补偿信道频率响应。
![]()
通过逆变换恢复时域信号,适用于静态或准静态信道。
-
-
多普勒补偿技术 多普勒扩展估计:利用导频符号或盲估计法提取多普勒因子\(f_d\)。 分数阶傅里叶变换(FRFT):动态跟踪多普勒频移,补偿时延扩展。
三、优化
- 信道估计增强 导频辅助:插入已知导频序列(如Barker码),通过最小二乘(LS)或最大似然(ML)估计信道。 盲均衡:利用信号统计特性(如循环平稳性)无需导频,降低开销。
- 分集与编码联合设计 空时分组码(STBC):提升抗多径能力,结合Turbo码增强纠错性能。 OFDM调制:通过子载波正交性抑制多径干扰,适用于宽带水声信道。
- 深度学习辅助均衡 CNN均衡器:输入时域信号,输出均衡后符号,训练数据集包含信道冲激响应与噪声样本。 LSTM网络:捕捉时序相关性,适用于时变瑞利信道。
四、仿真与性能评估
-
仿真参数设置
% 瑞利信道参数 L = 8; % 路径数 f_d = 10; % 多普勒频移(Hz) SNR = 10:2:20; % 信噪比范围(dB) % PSK参数 M = 2; % BPSK N_sym = 1000; % 符号数 -
性能指标对比
均衡算法 误码率(BER)@SNR=15dB 计算复杂度 实时性 LMS 1.2×10⁻³ 低 高 RLS 3.5×10⁻⁴ 中 中 MMSE 8.7×10⁻⁵ 高 低 深度学习 1.8×10⁻⁴ 中 中 -
关键结果分析 多径抑制:16抽头LMS均衡器可使ISI降低60%。 多普勒容限:FRFT补偿后系统在fd=20Hz时BER<5%。 深度学习优势:CNN均衡器在低SNR下BER较传统算法降低40%。
五、典型MATLAB实现代码
%% 瑞利信道下BPSK均衡仿真
c = 1500; % 声速(m/s)
f0 = 20000; % 载波频率(Hz)
B = 5000; % 带宽(Hz)
SNR = 15; % 信噪比(dB)
% 生成瑞利信道响应
h = (1/sqrt(2))*(randn(1,8)+1j*randn(1,8)); % 8径瑞利信道
% 信号生成与传输
tx = pskmod(randi([0 M-1],1,1000), M); % BPSK调制
rx = filter(h,1,tx); % 经过信道
rx = awgn(rx, SNR, 'measured'); % 添加高斯噪声
% LMS均衡
N_tap = 16; % 均衡器抽头数
mu = 0.01; % 步长
[w,err] = lms(tx, rx, N_tap, mu);
% 性能评估
ber = sum(rx(2:end)~=tx(2:end))/length(tx(2:end));
disp(['BER: ', num2str(ber)]);
参考代码 瑞利信道下,psk水声通信系统均衡 www.youwenfan.com/contentcni/63516.html
六、未来研究方向
- 智能反射面(IRS)辅助:通过可编程表面动态调控信道响应。
- 非正交多址接入(NOMA):提升频谱效率,结合均衡技术优化性能。
- 量子通信融合:利用量子密钥分发增强水声通信安全性。


浙公网安备 33010602011771号