初高中数学衔接教程 | 第六讲 简单的二元二次方程组 | 准高一使用
前情概要
结束了初中生涯的准高一的学生,此时肯定非常憧憬高中的美好学习生活,但又隐约担忧高中数学的学习,为此,静雅斋数学收集和整理了一套初高中数学衔接教程,便于准高一学生在开学前的衔接学习,弯道超车,快人一步。
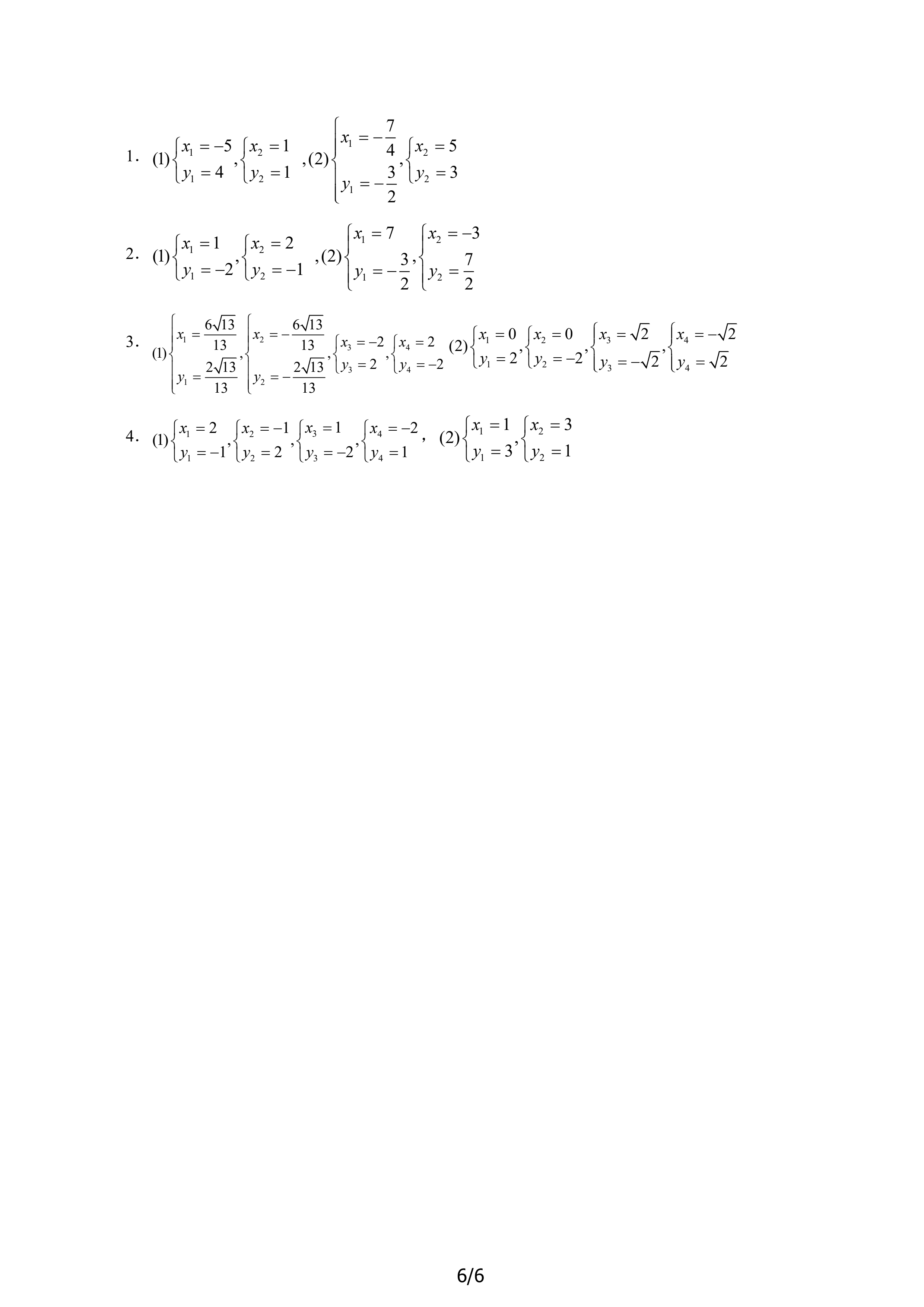
图片教程






结束了初中生涯的准高一的学生,此时肯定非常憧憬高中的美好学习生活,但又隐约担忧高中数学的学习,为此,静雅斋数学收集和整理了一套初高中数学衔接教程,便于准高一学生在开学前的衔接学习,弯道超车,快人一步。






您已经专注工作了45分钟
建议起身活动或补充水分