计算机网络--自顶向下方法 第一章习题+练习题

计算机网络 自顶向下方法 第一章 复习题

复习题

1.1 节

R1:没有什么不同。电脑,智能手机等等。是
R2:国家之间或政府之间缔结的据以确定其相互权利和义务的协议文书,多用于重大的政治、经济、军事、法律等问题的协议
R3:标准定义了协议的具体内容

1.2 节

R4:住宅接入:DSL 电缆; 公司接入:wifi 以太网;广域无线网接入:3G LTE
R5:共享的;不会,因为所有分组由一个源发出,不会发生冲突
R6:略
R7:100Mbps —— 10Gbps
R8:导引型物理媒体和非导引型物理媒体
R9:拨号调制解调器:56kbps,专用;HFC:下行速率:42.8Mbps,上行速率:30.7Mbps,共享;DSL:下行速率:24Mbps,上行速率:2.5Mbps,专用;FTTH:平均下行速率:20Mbps,共享。
R10:Wifi在无线局域网中,无线用户从基站(即无线接入点)半径几十米以内。基站通常连接有线互联网,因此可以将无线用户连接到有线网络。
3G和4G广域无线接入网络。在这些系统中,信息包通过与蜂窝电话相同的无线基础设施传输,因此基站由电信提供商管理。这为基站方圆几十公里内的用户提供了无线接入

1.3 节

R11:L/R1+L/R2
R12:电路交换网络可以在呼叫期间保证一定的端到端带宽(发送方能确保以恒定速率向接收方传送数据)。

  1. 当发生拥塞等网络问题时,TDM中的数据丢失可能只会是一部分,而FDM中就可能是大部分或全部。
  2. TDM适合数字信号传输,而FDM适合模拟信号传输,因为现在通信网络多是传输数字信号,所以TDM比FDM好。
  3. 因为频分复用连接建立后,当中途没有数据传输时,他所占有的频段带宽不能被其他连接使用,故可能存在空置,而在时分复用的统计时分模式下,连接建立后,当某个连接暂时不用传输数据时可以少分时间片或者不分,即其时隙的分配时“按需分配”,这样就让出了相应的传输时间给其他连接
    R13: a:2;b:到达的聚合数据率小于或等于该链路的输出速率;c:1/5;d:1/125
    R14:为了减少费用。第三方公司创建一个因特网交换点IXP,多个ISP能够在这里共同对等。IXP通过向每个连接到IXP的ISP收取相对较小的费用来赚钱,这可能取决于发送到IXP或从IXP接收到的流量。
    R15:谷歌的数据中心经过专用的TCP/IP网络互联,该网络跨越全球,但是独立于公共互联网。谷歌专用网络仅承载出入谷歌服务器主机的流量。谷歌专用网络通过与较低层的ISP对等尝试“绕过”因特网的较高层。
    首先,内容提供商对用户体验有更多的控制,因为它必须使用很少的中介isp。其次,它可以通过向供应商网络发送更少的流量来省钱。第三,如果互联网服务提供商决定向高利润的内容提供商收取更多的费用(在网络中立不适用的国家),内容提供商可以避免这些额外的费用。

1.4 节

R16:处理时延,排队时延,传输时延,传播时延。固定:传输时延,传播时延,处理时延;可变:排队时延
R17:略
R18:14ms; 8*L/R + d/s;有关
R19: a:500kbps;b:64s;c:100kbps;320s
R20:A将大文件分解成块。它向每个块添加首部信息,从而从文件生成多个分组。每个分组的报头包含目标(端系统B)的IP地址,包交换机使用分组中的目标IP地址来确定出链路。
这种方式与沿途询问方向类似。
R21:略

1.5 节

R22:比如运输层,TCP的任务有划分为短报文,拥塞控制,流量控制,可靠性等等。它的任务不是由两个(或更多)层次执行的。但是,很多层次的任务是互相重复的。
R23:应用层,运输层,网络层,链路层,物理层。;应用层:一个端系统中的应用程序与另一个端系统中的应用程序交换信息的分组;运输层:应用程序的端点之间传送应用层报文(报文段);网络层:将数据报从一台主机移动到另一台主机;链路层:网络层为了将分组从一个结点(主机或路由器)移动到路径上的下一个结点,网络层必须依靠该链路层服务。特别是在每个结点,网络层将数据报下传给链路层,链路层沿着路径将数据报传递给下个结点。在下个结点,链路层将数据报上传给网络层;物理层:将帧中的一个一个比特从一个结点移动到下一个结点。
R24:应用层报文:应用程序想要发送和传递到运输层的数据。
运输层报文:由传输层生成,用传输层报头封装应用层消息。
网络层数据报:用网络层报头封装传输层段。
链路层帧:用链路层报头封装网络层数据报。
R25:网络层,链路层,物理层;链路层,物理层;应用层,运输层,网络层,链路层,物理层

1. 6节

R26:病毒:需要用户交互才能感染设备。
蠕虫:不许用户交互就能感染设备
R27:恶意软件控制了很多网络设备,统称为僵尸网络。
利用恶意软件,僵尸网络中的网络设备向目标主机发送大量的分组,或者创建大量连接等等,使目标主机陷入困境。这就是僵尸网络被用于DDoS攻击的效果
R28:Trudy可以进行嗅探分组,得到传输分组的副本,还可以进行IP哄骗,冒充另一个用户。

习题

P2:N * (L / R) + (P - 1) * (L / R) = (N + P - 1) * (L / R)
P3:(1). 电路交换。由于传输速率是已知的,而且不会突然中断,因此可以为每个应用程序会话保留带宽,而不会造成重大浪费。
(2). 不需要。最坏情况下也不会造成拥塞。
P4:(1). 16;(2). 8;(3). 能;A-B-C两条,A-D-C两条, B-C-D两条,B-A-D两条
P5:略
P6:m/s; L/R; m/s + L/R;刚刚离开主机 A;链路上;B;536KM
P7:题意有歧义
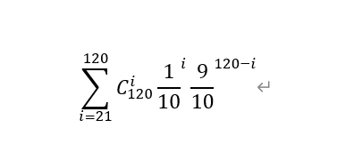
P8:20;1/10;图片描述

posted @ 2020-12-25 21:16  buguoliujibugaiming  阅读(555)  评论(0)    收藏  举报