简单理解LSTM神经网络
https://mp.weixin.qq.com/s/WQzp_A4TPe4-YBjIEUyZaA
机器学习AI算法工程 公众号:datayx
递归神经网络
在传统神经网络中,模型不会关注上一时刻的处理会有什么信息可以用于下一时刻,每一次都只会关注当前时刻的处理。举个例子来说,我们想对一部影片中每一刻出现的事件进行分类,如果我们知道电影前面的事件信息,那么对当前时刻事件的分类就会非常容易。实际上,传统神经网络没有记忆功能,所以它对每一刻出现的事件进行分类时不会用到影片已经出现的信息,那么有什么方法可以让神经网络能够记住这些信息呢?答案就是Recurrent Neural Networks(RNNs)递归神经网络。
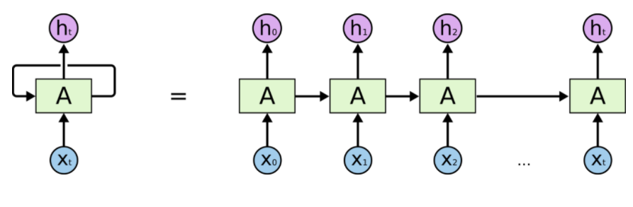
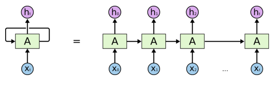
递归神经网络的结果与传统神经网络有一些不同,它带有一个指向自身的环,用来表示它可以传递当前时刻处理的信息给下一时刻使用,结构如下:
这样的一条链状神经网络代表了一个递归神经网络,可以认为它是对相同神经网络的多重复制,每一时刻的神经网络会传递信息给下一时刻。如何理解它呢?假设有这样一个语言模型,我们要根据句子中已出现的词预测当前词是什么,递归神经网络的工作原理如下:
其中,W为各类权重,x表示输入,y表示输出,h表示隐层处理状态。
递归神经网络因为具有一定的记忆功能,可以被用来解决很多问题,例如:语音识别、语言模型、机器翻译等。但是它并不能很好地处理长时依赖问题。
长时依赖问题
长时依赖是这样的一个问题,当预测点与依赖的相关信息距离比较远的时候,就难以学到该相关信息。例如在句子”我出生在法国,……,我会说法语“中,若要预测末尾”法语“,我们需要用到上下文”法国“。理论上,递归神经网络是可以处理这样的问题的,但是实际上,常规的递归神经网络并不能很好地解决长时依赖,好的是LSTMs可以很好地解决这个问题。
LSTM 神经网络
Long Short Term Mermory network(LSTM)是一种特殊的RNNs,可以很好地解决长时依赖问题。那么它与常规神经网络有什么不同?
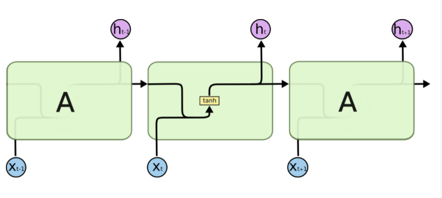
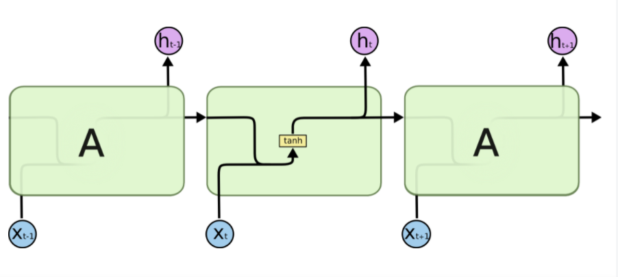
首先我们来看RNNs具体一点的结构:
所有的递归神经网络都是由重复神经网络模块构成的一条链,可以看到它的处理层非常简单,通常是一个单tanh层,通过当前输入及上一时刻的输出来得到当前输出。与神经网络相比,经过简单地改造,它已经可以利用上一时刻学习到的信息进行当前时刻的学习了。
LSTM的结构与上面相似,不同的是它的重复模块会比较复杂一点,它有四层结构:
其中,处理层出现的符号及表示意思如下:、
LSTMs的核心思想
理解LSTMs的关键就是下面的矩形方框,被称为memory block(记忆块),主要包含了三个门(forget gate、input gate、output gate)与一个记忆单元(cell)。方框内上方的那条水平线,被称为cell state(单元状态),它就像一个传送带,可以控制信息传递给下一时刻。
这个矩形方框还可以表示为:
举个例子来说就是,我们在之前的句子中学到了很多东西,一些东西对当前来讲是没用的,可以对它进行选择性地过滤。
举个例子就是,在前面的句子中我们保存的是张三的信息,现在有了新的李四信息,我们需要把张三的信息丢弃掉,然后把李四的信息保存下来。
这显然可以理解,首先sigmoid函数的输出是不考虑先前时刻学到的信息的输出,tanh函数是对先前学到信息的压缩处理,起到稳定数值的作用,两者的结合学习就是递归神经网络的学习思想。至于模型是如何学习的,那就是后向传播误差学习权重的一个过程了。
上面是对LSTM一个典型结构的理解,当然,它也会有一些结构上的变形,但思想基本不变,这里也就不多讲了。
参考:http://colah.github.io/posts/2015-08-Understanding-LSTMs
 
                    
                     
                    
                 
                    
                
 
 
                
            
         
         浙公网安备 33010602011771号
浙公网安备 33010602011771号