通过前序遍历(后序遍历)和中序遍历画出唯一的一棵二叉树
这里举一个例子:
一棵二叉树的中序遍历序列为:DGBAECHF,后序遍历序列为:GDBEHFCA,则前序遍历的序列是什么?
这一类题目主要以选择填空为主,有时候会作为解答题让我们画出二叉树。当然做这一类题目也有技巧,故介绍如下几种技巧。
1.三种遍历
中序遍历先访问左子树,再访问根节点,最后访问右子树。
前序遍历先访问根节点,再访问左子树,最后访问右子树。
后序遍历先访问左子树,再访问右子树,最后访问根节点。
2.判断根节点
如果要画出唯一一棵树,那么必须要前序遍历(后序遍历)和中序遍历,
前序遍历的第一个字母即为整棵树的根节点,后序遍历的最后一个字母即为整棵树的根节点。
然后再根据根节点在中序遍历中的位置,判断左子树和右子树。
2.选择题解题方法(特殊情况)
如果例题有了以下几个选项:A.ABDGCEFH B.BACDFGHE C.FCEAHBGD D.GFEDCBA
显然D选项是闹着玩的不正确的,根据上面的方法,发现这一题的根节点为A,即左子树的元素有{BDG},右子树的元素有{CEFH}。

很显然,根节点是A,那么前序遍历的第一个字母一定是A,答案即为A,当然这一种送分题也是比较少见。
一般来说,两个子树的元素有一边的数量比较少,在3-4个字母之间,应该从少的下手。
3.正常解题方法
刚刚我们已经分出了左右子树的元素,接下来我们从少的一边(左子树)下手。
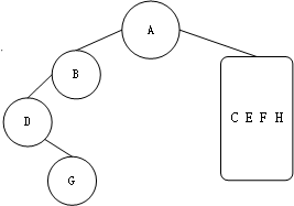
对于左子树来讲,中序遍历为:DGB,后序遍历为:GDB。
那么这三个元素可以放置的位置如下:

接下来,我们需要思维转变,我们创建有这三个元素组成的一颗新的树。
根据上面的方法,我们可以知道这一颗树的根节点为B,左子树的元素有{AB},右子树的元素有{},即为空集。
接下来再重复上面的方法,把D理解为新的子树的根节点,那么左子树的元素为{},即为空集,右子树的元素为{G}。
根据上面的结论画出图像:

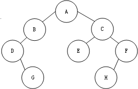
右侧同理,画出图像:

故前序遍历为:ABDGCEFH。
最后放上雪之下


浙公网安备 33010602011771号