Cholesky分解及一个例子
定义: cholesky分解是一种将任意n阶对称正定矩阵A分解成下三角矩阵L的一种方法:

其中,L称为Cholesky因子。如果L的对角元均为正数,则L是唯一确定的。
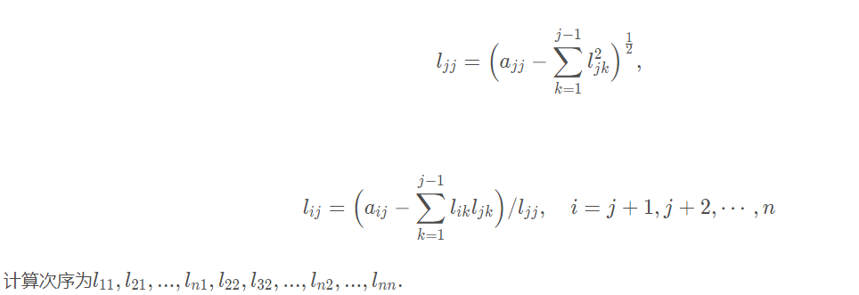
Cholesky分解对于解决带有对称正定系数矩阵A的线性问题非常有效。在计算机中,直接求解Ax=b时间复杂度是很高的用cholesky法对A提前变换之后再计算会有效降低复杂度。计算方法如下:

其等价于

令

则

则有

注意,正定对称矩阵的行列式可以由下式得出:

其中,L是由A得出的Cholesky因子。
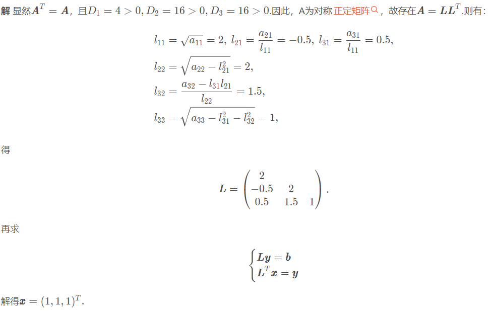
例题
用cholesky方法求解线性方程组A x = b 其中
参考:
https://blog.csdn.net/qq_41564404/article/details/88085073
立志如山 静心求实
浙公网安备 33010602011771号