香港中文大学(深圳) MAT1002 - Calculus II 笔记
笔记包括2025年春学期该课程的内容
所有知识点截图均来自王筱平教授的课件
更新:考前需要重点记忆的内容
-
判断级数收敛的8种方法,括号里为使用前提
-
N-th Term Test
-
Integral Test (f:正、连续、不增)
-
Direct Comparison Test (\(a_n\geq b_n\geq 0\))
-
Limit Comparison Test (\(a_n,b_n>0\))
-
Absolute Convergence Test
-
Ratio Test
-
Root Test
-
Alternative Series Test
-
-
常用麦克劳林级数
\[\begin{align} \frac1{1-x}&=1+x+x^2+\cdots=\sum_{n=0}^{\infin}x^n,|x|<1\\ \frac1{1+x}&=1-x+x^2+\cdots=\sum_{n=0}^{\infin}(-1)^nx^n,|x|<1\\ e^x&=1+x+\frac{x^2}{2!}+\cdots=\sum_{n=0}^{\infin}\frac{x^n}{n!},x\in \mathbb R\\ sin\ x&=x-\frac{x^3}{3!}+\frac{x^5}{5!}-\cdots=\sum_{n=0}^{\infin}\frac{(-1)^nx^{2n+1}}{(2n+1)!},x\in \mathbb R\\ cos\ x&=1-\frac{x^2}{2!}+\frac{x^4}{4!}-\cdots=\sum_{n=0}^{\infin}\frac{(-1)^{n}x^{2n}}{(2n)!},x\in \mathbb R\\ ln(1+x)&=x-\frac{x^2}2+\frac{x^3}3-\cdots=\sum_{n=1}^{\infin}(-1)^{n-1}\frac{x^n}n,-1\leq x\leq 1\\ tan^{-1}x&=x-\frac{x^3}3+\frac{x^5}5-\cdots=\sum_{n=0}^{\infin}(-1)^n\frac{x^{2n+1}}{2n+1},|x|\leq 1 \end{align} \] -
极坐标曲线的弧长和面积公式
- 弧长:\(L=\int_a^b\sqrt{(f(\theta))^2+(f'(\theta))^2}d\theta\)
- 面积:\(A=\frac12\int_a^b(f(\theta))^2d\theta\)
-
\(\mathbb R^3\)中向量叉积公式:\(\overrightarrow w=<u_2v_3-u_3v_2,u_3v_1-u_1v_3,u_1v_2-u_2v_1>\)
-
向量值函数相关
- 单位切向量:\(\overrightarrow T=\frac{d\overrightarrow r}{ds}=\frac{{\overrightarrow r}'(t)}{||{\overrightarrow r}'(t)||}\)
- 曲率:\(\kappa=||\frac{d\overrightarrow T}{ds}||=||\frac{d\overrightarrow T}{dt}||/||{\overrightarrow r}'(t)||\)
- (主)单位法向量:\(\overrightarrow N=\frac 1{\kappa}\frac{d\overrightarrow T}{ds}=\frac{d\overrightarrow T/dt}{||d\overrightarrow T/dt||}\)
-
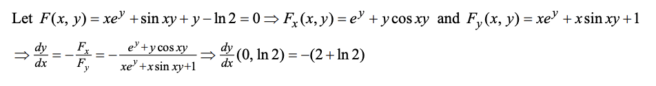
用偏导数求平面曲线斜率:对于平面曲线\(F(x,y)=0\),\(\frac{dy}{dx}=-\frac{F_x}{F_y}\)
扩展到高维同理
-
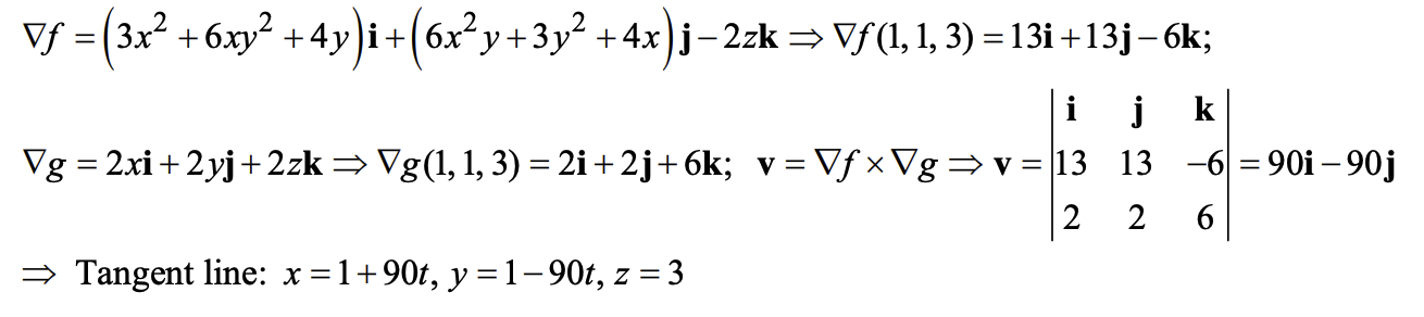
拉格朗日乘数法公式:\(\nabla f=\lambda\nabla g\),更多限制情况下则为\(\nabla f=\sum \lambda_i\nabla g_i\)
-
双变量函数的二次近似:用泰勒展开取一二次项
\(f(x,y)\approx f(x_0,y_0)+(x-x_0)f_x(x_0,y_0)+(y-y_0)f_y(x_0,y_0)+\frac12 [(x-x_0)^2f_{xx}(x_0,y_0)+2(x-x_0)(y-y_0)f_{xy}(x_0,y_0)+(y-y_0)^2f_{yy}(x_0,y_0)]\)
-
多重积分换元后需要额外乘上的系数:\(J(u,v)=\begin{vmatrix}\frac{\partial x}{\partial u}&\frac{\partial x}{\partial v}\\\frac{\partial y}{\partial u}&\frac{\partial y}{\partial v}\end{vmatrix}\)
普通坐标系转球坐标系,该系数为\(\rho^2sin\phi\)
-
保守场的分量测试条件:\(\frac{\partial P}{\partial y}=\frac{\partial N}{\partial z},\frac{\partial M}{\partial z}=\frac{\partial P}{\partial x},\frac{\partial N}{\partial x}=\frac{\partial M}{\partial y}\)
-
格林定理
- \(\int_CF\cdot T\ ds=\int\int_R(\frac{\partial N}{\partial x}-\frac{\partial M}{\partial y})dA\)
- \(\int_CF\cdot n\ ds=\int\int_R (\frac{\partial M}{\partial x}+\frac{\partial N}{\partial y})dA\)
-
参数曲面面积公式:\(S=\int\int_R |r_u\times r_v|du\ dv\)
-
旋度公式:\(curl\ F=\nabla\times F\),其中\(\nabla=<\frac{\partial}{\partial x},\frac{\partial}{\partial y},\frac{\partial}{\partial z}>\),计算结果为\(curl\ F=<\frac{\partial P}{\partial y}-\frac{\partial N}{\partial z},\frac{\partial M}{\partial z}-\frac{\partial P}{\partial x},\frac{\partial N}{\partial x}-\frac{\partial M}{\partial y}>\)
期中前
-
Infinite Sequences
收敛性:\(\forall\epsilon>0,\exist N\ s.t.\ |a_n-L|<\epsilon(\forall n>N)\)
有Diverge to \(\pm\infty\)的说法
-
Theorems & Properties
- 函数极限的运算规则对数列极限同样适用(如\(lim_{n\to\infty}a_nb_n=L_a\cdot L_b\))
- 若f在L处连续,且\(lim_{n\to\infty}a_n=L\),则\(lim_{n\to\infty}f(a_n)=f(L)\)
- Sandwich Theorem同样适用
- 如果存在\(n_0\ s.t.\ a_n=f(n)\forall n\geq n_0\),则\(\lim_{x\to\infty}f(x)=L\Rightarrow\lim_{n\to\infty}a_n=L\)
-
常用序列极限(10.1中Theorem 5,要背)
\[\begin{align} lim_{n\to\infin}\frac{ln\ n}{n}&=0\\ lim_{n\to\infin}\sqrt[n]n&=1\\ lim_{n\to\infin}x^{\frac 1n}&=1\ (x>0)\\ lim_{n\to\infin}x^n&=0\ (|x|<1)\\ lim_{n\to\infin}(1+\frac xn)^n&=e^x\ (x\in\mathbb R)\\ lim_{n\to\infin}\frac{x^n}{n!}&=0\ (x\in\mathbb R) \end{align} \] -
Bounded Sequences 有界序列
- \(\{a_n\}\) is bounded \(\Leftrightarrow\) it is bounded from both sides
- \(\{a_n\}\) is convergent \(\Rightarrow\) is bounded
- The Monotonic Sequence Theorem: 有界且单调的序列收敛
-
Applications & Tricks
-
求序列的极限:直接当函数的极限求就行
例:10.1.54
例:10.1.74
-
求Recursively Defined Seqences的极限
例:10.1.98
-
-
-
Infinite Series: \(\sum_{n=1}^{\infty}a_n\)
\(lim_{n\to\infty}S_n\) 存在 \(\Leftrightarrow\) 级数收敛
-
Geometric Series 几何级数:\(\sum_{n=0}^{\infty}ar^n\)
收敛的充要条件:\(|r|<1\)
-
判断级数收敛的方法
-
N-th Term Test: \(lim_{n\to\infty}a_n=0\) (必要条件,不充分)
例:10.2.64
-
Integral Test: 若\(\exist N\ s.t.\ a_n=f(n)\geq 0\forall n\geq N\),其中f是在\([N,\infty)\)上连续且不增的函数,则原级数收敛当且仅当\(\int_N^{\infty}f(x)dx\)收敛
例:10.3.31
例:10.3.37
-
Direct Comparison Test: 若\(\exist N\ s.t.\ \forall n\geq N,a_n\geq b_n且a_n,b_n\geq 0\),则a收敛\(\Rightarrow\)b收敛,b发散\(\Rightarrow\)a发散
例:10.4.6
-
Limit Comparison Test: 若\(\exist N\ s.t.\ \forall n\geq N,a_n,b_n>0\),令\(L=lim_{n\to\infty}\frac{a_n}{b_n}\),则:
- \(0<L<\infty\): a收敛\(\Leftrightarrow\)b收敛
- \(L=0\): b收敛\(\Rightarrow\)a收敛
- \(L=\infty\): b发散\(\Rightarrow\)a发散
例:10.4.42
-
Absolute Convergence Test: 若\(\sum|a_n|\)收敛,则\(\sum a_n\)收敛
- Definition: 若\(\sum|a_n|\)收敛,则称\(\sum a_n\) converges absolutely
- 若要求判断converges conditionally/absolutely还是发散,则对原级数和每项取绝对值后的级数分别判断(如果取完之后收敛,可以直接判为converges absolutely)
-
Ratio Test: 令\(L=lim_{n\to\infty}|\frac{a_{n+1}}{a_n}|\),则:
- \(L<1\): Converges absolutely
- \(L>1\): 发散
- \(L=1\): 不好说
例:10.5.35
-
Root Test: 令\(L=\lim_{n\to\infty}\sqrt[n]{|a_n|}\),则:
- \(L<1\): Converges absolutely
- \(L>1\): 发散
- \(L=1\): 不好说
例:10.5.40
-
Alternative Series Test: 若为交错级数,且\(\exist N\ s.t.\ \forall n\geq N,u_n\geq u_{n+1};lim_{n\to\infty}u_n=0\),则级数收敛
-
-
对满足上面第8条中条件的Alternating Series值的估计
\(L\)在\(S_k\)和\(S_{k+1}\)之间,\(|L-S_k|<u_{k+1}\)
-
使用哪种Test(着重看4和5):
-
-
Power Series 幂级数:\(\sum_{n=0}^{\infty}c_n(x-a)^n\)
在幂级数中我们约定\(0^0=1\)
-
Radius of Convergence:以下三条中有一条成立
-
存在\(R\)满足\(\forall x\ s.t.\ |x-a|<R\),级数收敛;\(\forall x\ s.t.\ |x-a|>R\),级数发散;\(|x-a|=R\),不一定
-
对任意\(R\)均收敛(\(R=\infty\))
-
在\(x=a\)收敛,其余均发散(\(R=0\))
-
求幂级数收敛范围:使用Ratio Test或Root Test,并对\(|x-a|=R\)单独检查
例:10.7.22
-
-
可以把幂级数一般形式和收敛形式中的x一起用一个代数式替换(Substitution),但新未知数的收敛范围也要相应变化
-
可以把两边同时积分或求导,但此时收敛范围边界处(\(|x-a|=R\))的收敛性可能会改变
-
-
Taylor Series 泰勒级数:\(T(x)=\sum_{n=0}^{\infty}\frac{f^{(n)}(a)}{n!}(x-a)^n\)
是一种用若干个多项式的和来拟合一个函数的方法
推导过程:
-
Maclaurin Series 麦克劳林级数:\(a=0\)的情况
-
Taylor Polynomial 泰勒多项式:泰勒级数的一个前缀和
\(f\)的以\(a\)为中心的\(n\)阶泰勒多项式:\(P_n(x)=\sum_{k=0}^n\frac{f^{(k)}(a)}{k!}(x-a)^k\)
-
关于泰勒级数在收敛区间上是否收敛到原函数的问题
- 不是解析函数,除了\(x=a\)处一定收敛,其他位置都不好说,例:\(f(x)=e^{-\frac1{x^2}(x\neq 0)},f(x)=0(x=0)\),该函数的麦克劳林级数表现为一条直线\(y=0\)
- 是解析函数,在收敛区间内部一定收敛到原函数,在\(|x-a|=R\)时可能收敛到原函数,可能收敛到其他值,可能发散
-
Taylor's Theorem 泰勒定理
若\(f^{(n+1)}\)在\([a,x]\)上存在,则\(\exist c\in(a,x)\ s.t.\ f(x)=\sum_{k=0}^n\frac{f^{(k)}(a)}{k!}(x-a)^k+R_n(x)\),其中余项\(R_n(x)=\frac{f^{(n+1)}(c)}{(n+1)!}(x-a)^{n+1}\)
\(n=0\)的情况是Mean Value Theorem
例:10.9.49
-
Binomial Series 二项级数:\(\sum_{n=0}^{\infty}\binom{\alpha}nx^n\)
当\(\alpha\)不为整数时,收敛半径\(R=1\)
当\(x\to a\)时,\(R_n=\frac{f^{(n+1)}(c)}{(n+1)!}(x-a)^{n+1}=O((x-a)^{n+1})=o((x-a)^n)\)
-
常用麦克劳林级数(要背)
\[\begin{align} \frac1{1-x}&=1+x+x^2+\cdots=\sum_{n=0}^{\infin}x^n,|x|<1\\ \frac1{1+x}&=1-x+x^2+\cdots=\sum_{n=0}^{\infin}(-1)^nx^n,|x|<1\\ e^x&=1+x+\frac{x^2}{2!}+\cdots=\sum_{n=0}^{\infin}\frac{x^n}{n!},x\in \mathbb R\\ sin\ x&=x-\frac{x^3}{3!}+\frac{x^5}{5!}-\cdots=\sum_{n=0}^{\infin}\frac{(-1)^nx^{2n+1}}{(2n+1)!},x\in \mathbb R\\ cos\ x&=1-\frac{x^2}{2!}+\frac{x^4}{4!}-\cdots=\sum_{n=0}^{\infin}\frac{(-1)^{n}x^{2n}}{(2n)!},x\in \mathbb R\\ ln(1+x)&=x-\frac{x^2}2+\frac{x^3}3-\cdots=\sum_{n=1}^{\infin}(-1)^{n-1}\frac{x^n}n,-1\leq x\leq 1\\ tan^{-1}x&=x-\frac{x^3}3+\frac{x^5}5-\cdots=\sum_{n=0}^{\infin}(-1)^n\frac{x^{2n+1}}{2n+1},|x|\leq 1 \end{align} \] -
Applications & Tricks
-
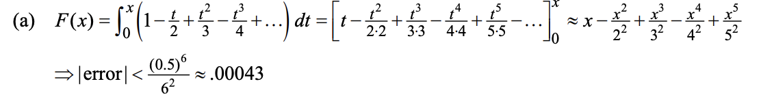
用级数估计积分的值(精确到某个范围):先展开再逐项积分,如果是交错级数,就取到第一个在给定区间内一定小于给定精度阈值的左边那一项
例:10.10.28
-
用级数计算极限的值:将其中的一些项展开,极限会变得更好计算
例:10.10.34
-
已知展开式求原函数:需要把那几个常用麦克劳林级数背熟
-
-
-
Euler’s Identity 欧拉恒等式
\(e^{i\theta}=cos\theta+i\ sin\theta\)或\(e^{i\pi}=-1\)
-
Parametric Curves 参数曲线
\(\{(x,y):x=f(t),y=g(t),t\in I\}\),其中\(I\)是一个区间,\(x=f(t),y=g(t)\)是Parametric Equations参数方程,\(t\)是参数
- 弧长公式\(L=\int_a^b\sqrt{(f'(t))^2+(g'(t))^2}dt\)
- 曲线下方面积公式\(A=\int_a^bg(t)f'(t)dt\)(假设\(f'(t)>0\))
- Arc Length Differential\(dS=\sqrt{(f'(t))^2+(g'(t))^2}dt\)
- 绕x轴旋转面积公式\(S=\int_a^b2\pi g(t)\sqrt{(f'(t))^2+(g'(t))^2}dt\)
- 绕x轴旋转体积公式\(V=\int_a^b\pi(g(t))^2f'(t)dt\)
-
Polar Coordinates 极坐标:\((r,\theta)\)
\((r,\theta)=(-r,\theta+\pi)\)
极坐标转笛卡尔坐标:\(x=rcos\theta,y=rsin\theta\)
笛卡尔坐标转极坐标:
\(r^2=x^2+y^2,tan\theta=\frac yx(x\neq 0)\)
\(\theta=\frac{\pi}2\ if\ y>0,\theta=\frac{3\pi}2\ if\ y<0(x=0)\)
-
Applications & Tricks
-
转笛卡尔坐标方程:用\(r^2=x^2+y^2,x=rcos\theta,y=rsin\theta\)
例:11.3.43
-
转极坐标方程:同上
例:11.3.65
-
Polar Curve 极坐标曲线:\(r=f(\theta)\)
-
极坐标曲线某一处的斜率:\(x=f(\theta)cos\theta,y=f(\theta)sin\theta\)
\(\frac{dy}{dx}=\frac{f(\theta)cos\theta+f'(\theta)sin\theta}{-f(\theta)sin\theta+f'(\theta)cos\theta}\)
-
弧长公式\(L=\int_a^b\sqrt{(f(\theta))^2+(f'(\theta))^2}d\theta\)
-
扇形面积公式\(A=\frac12\int_a^b(f(\theta))^2d\theta\)
如果是两条曲线中间夹着的区域面积,就把f平方的差积分
-
画图方法:先根据方程判断是否关于x/y/原点对称,然后取点用平滑曲线连接
-
隐式定义的极坐标曲线可能不符合一般方程,一个\(\theta\)也可能对应多个\(r\)
例:11.4.11
后面画图还是得多看看
-
-
3D Space
三条轴的排列方式通常遵循右手法则
\(\mathbb R^n\)中两点间距离为\((\sum_{i=1}^n(y_i-x_i)^2)^\frac12\)
\(\mathbb R^3\)中向量的表示方法:\(\begin{pmatrix} a \\ b \\ c \end{pmatrix}\)或\(<a,b,c>\)
Standard Unit Vectors 标准单位向量:\(<1,0,0>,<0,1,0>,<0,0,1>(i,j,k)\)
求一个向量的方向(direction)时,应该用以\(i,j,k\)表示的一个长度为1的向量
-
Vectors in \(\mathbb R^3\)
-
向量的投影:\(\overrightarrow u\)在\(\overrightarrow v\)上的投影\(proj_{\overrightarrow v}(\overrightarrow u)=||\overrightarrow u||\cdot(\frac{\overrightarrow u\cdot \overrightarrow v}{||\overrightarrow u||\cdot||\overrightarrow v||})\cdot \frac{\overrightarrow v}{||\overrightarrow v||}=\frac{\overrightarrow u\cdot\overrightarrow v}{||\overrightarrow v||^2}\overrightarrow v\)
\(\frac{\overrightarrow u\cdot\overrightarrow v}{||\overrightarrow v||}\): scalar component of \(\overrightarrow u\) in the direction of \(\overrightarrow v\)
-
向量的平行概念是针对非零向量而言的
-
\(\mathbb R^3\)中向量的叉积:令\(\overrightarrow w=\overrightarrow u \times \overrightarrow v\)
-
\(\overrightarrow w\)是\(\overrightarrow u,\overrightarrow v\)所确定平面的一个法向量
-
右手法则:右手食指指向\(\overrightarrow u\)方向,中指指向\(\overrightarrow v\)方向,则拇指指向\(\overrightarrow w\)方向
-
\(\overrightarrow w=<u_2v_3-u_3v_2,u_3v_1-u_1v_3,u_1v_2-u_2v_1>\)
-
叉积与行列式的关系
-
\(||\overrightarrow u\times \overrightarrow v||=||\overrightarrow u||\ \ ||\overrightarrow v||sin\theta\)
-
叉积的长度是这两个向量围成的平行四边形的面积
-
叉积的运算规则(交换律要取负,不遵循结合律,遵循分配律)
-
\((\overrightarrow u\times\overrightarrow v)\cdot \overrightarrow w\)的绝对值是这三个向量围成的平行六面体的体积
-
-
Torque 扭矩:衡量旋转趋势大小的矢量
\(\overrightarrow\tau=\overrightarrow r\times\overrightarrow F\)
右手定则:右手大拇指的方向是扭矩的方向,四指的方向是旋转的方向
-
\(\mathbb R^3\)中的直线
经过\(r_0(x_0,y_0,z_0)\)且与\(\overrightarrow v\)平行的一条直线可以表示为:\(\overrightarrow r(t)=\overrightarrow{r_0}+t\ \overrightarrow v\)
\(\mathbb R^3\)中点到直线的距离:
令P为直线上一点,S为直线外一点,\(d=\frac{||\overrightarrow{PS}\times \overrightarrow v||}{||\overrightarrow v||}\)
例:12.5.38
-
\(\mathbb R^3\)中的平面
令平面法向量为\(<A,B,C>\),其与平面交点为\((x_0,y_0,z_0)\),则\(A(x-x_0)+B(y-y_0)+C(z-z_0)=0\),\(Ax+By+Cz=D\),其中\(D=Ax_0+By_0+Cz_0\),\(<A,B,C>\)是这个平面的一个法向量
\(\mathbb R^3\)中点到平面的距离:
令P为平面上一点,S为平面外一点,\(d=\frac{|\overrightarrow{PS}\cdot \overrightarrow n|}{||\overrightarrow n||}\)
例:12.5.45
求两个平面交线的过程:求两平面法向量的叉积(也就是交线的方向向量),然后解出交线上的一个点
例:12.5.59
-
Applications & Tricks
根据交线求可能的平面方程
例:12.5.69
-
-
求两相离直线(Skew Lines)之间的距离:求出两方向向量的叉积,以其作为法向量构造两个包含这两条直线的平行平面,在两平面上分别取一个点用于计算两平面之间的距离
-
-
Cylinders and Quadric Surfaces 圆柱和二次曲面
-
Cylinder 圆柱:所有平行于给定直线且经过给定平面曲线的直线的集合(和以前说的那个圆柱不是一个东西)
-
Quadric Surfaces 二次曲面:所有满足一个二次等式的\((x,y,z)\)的集合
-
Hyperbolic Paraboloid 双曲抛物面:\(\frac{y^2}{b^2}-\frac{x^2}{a^2}=\frac zc\)
-
Elliptic Paraboloid 椭圆抛物面:\(\frac{x^2}{a^2}+\frac{y^2}{b^2}=\frac zc\)
-
Elliptic Cone 椭圆锥:\(\frac{x^2}{a^2}+\frac{y^2}{b^2}=\frac{z^2}{c^2}\)
-
-
-
Vector-Valued Functions 向量值函数
\(\overrightarrow r(t)=<r_1(t)\cdots r_n(t)>\),\(t\in I\)
-
向量值函数的极限:\(lim_{t\to t_0}\overrightarrow r(t)=\overrightarrow L\Leftrightarrow \forall\epsilon>0,\exist c>0\ s.t.\ \forall|t-t_0|<c,||\overrightarrow r(t)-\overrightarrow L||<\epsilon\)
-
性质: Component-Wise Limit 分量极限:\(lim_{t\to t_0}\overrightarrow r(t)=<L_1\cdots L_n>\Leftrightarrow \forall i,lim_{t\to t_0}{\overrightarrow r}_i(t)=L_i\)
-
Continuity 连续性:
Continuous at \(t_0\Leftrightarrow lim_{t\to t_0}\overrightarrow r(t)=\overrightarrow r(t_0)\)
-
Differentiability 可微性:
\({\overrightarrow r}'(t)=lim_{h\to 0}\frac{\overrightarrow r(t+h)-\overrightarrow r(t)}h\) exists
若\({\overrightarrow r}'(t)\)连续且非零,则曲线的这个参数化光滑(Smooth)
若\({\overrightarrow r}'(t)\)在仅定义域边界处为0,也不能算是光滑的(已向助教核实);但一条曲线可以有多种参数化方式,只要有一种是光滑的,那这条曲线就是光滑的(见2025年期中考试判断题最后一题),也就是说,"曲线光滑"和"参数化光滑"是两件事情
求导运算规则:
-
Constant-Length Vector Functions:
若\(\overrightarrow r(t)\)可微且长度恒定,则\(\forall t,\overrightarrow r(t)\cdot{\overrightarrow r}'(t)=0\)
-
Indefinite Integral 不定积分的定义:
\(\int \overrightarrow r(t)dt=\overrightarrow R(t)+\overrightarrow C\),其中\(\overrightarrow C\)是一个有定值的向量
-
Definite Integral 定积分的定义:
\(\int_a^b\overrightarrow r(t)dt=<\int_a^br_1(t)dt\cdots\int_a^b r_n(t)dt>\)
Fundamental Theorem of Calculus for Vector Functions: \(\int_a^b\overrightarrow r(t)dt=\overrightarrow R(b)-\overrightarrow R(a)\)
-
Applications & Tricks
-
射弹的最大高度
以与地面的角度\(\alpha\)和初速度\(v_0\)发射的射弹的最大高度为\(\frac{v_0^2sin^2(\alpha)}{2g}\)
-
-
弧长公式:
\(L=\int_a^b||{\overrightarrow r}'(t)||dt=\int_a^b\sqrt{(f'(t))^2+(g'(t))^2+(h'(t))^2}dt\ (n=3)\)
跟参数曲线的弧长公式很像
例:13.3.12
若弧长\(s\)一直变化,则可以用\(s\)表示\(t\),写出一个新的轨迹公式(Re-parameterize the helix with respect to arc length measured from...)
-
\(\overrightarrow T=\frac{d\overrightarrow r}{ds}\) Unit Tangent Vector 单位切向量
-
Curvature 曲率:描述曲线在一点弯曲程度的量
\(\kappa=||\frac{d\overrightarrow T}{ds}||=||\frac{d\overrightarrow T}{dt}||/||{\overrightarrow r}'(t)||\)
-
\(\overrightarrow N=\frac 1{\kappa}\frac{d\overrightarrow T}{ds}=\frac{d\overrightarrow T/dt}{||d\overrightarrow T/dt||}\) Principal Unit Normal Vector 主单位法向量,表示着单位切向量变化的方向,永远和单位切向量垂直(计算的时候一般用等式最右边那个)
例:13.4.12
-
Osculating Circle 密切圆:对于一条平面曲线,点\(P\)处的密切圆是与这条曲线有相同切线和曲率、圆心在主单位法向量方向的圆,半径为\(\frac1{\kappa}\)(这个按照曲率定义硬算能算出来)
-
-
考前默写:8种判断级数收敛性方法,7个常用麦克劳林级数,3个极坐标换算常用公式,极坐标曲线弧长、面积公式,\(\mathbb R^3\)中的叉积公式,向量值函数的单位切向量、单位法向量、曲率公式
期中后
-
Functions of Several Variables 多变量函数 基础部分
-
双变量函数的极限:若\(\forall \epsilon>0,\exist c>0\ s.t.\ \forall(x,y)\in D,0<\sqrt{(x-x_0)^2+(y-y_0)^2}<c\Rightarrow |f(x,y)-L|<\epsilon\),则\(lim_{(x,y)\to(x_0,y_0)}f(x,y)=L\)
更多变量的函数类似
极限的各种运算规则和Sandwich Theorem仍然适用
例:14.2.17
-
定理:\(D\subseteq\mathbb R^n\)时,极限存在当且仅当在\(\mathbb R^n\)以任何路径靠近这个点时函数值趋于同一个值。可以用来判断极限是否存在
例:14.2.47
例:14.2.50
-
-
双变量函数的连续性:在\(x_0\)连续当且仅当\(lim_{x\to x_0}f(x)=f(x_0)\),\(f\)连续当且仅当在定义域内任何点连续。连续函数的和、差、积、商、幂都连续
- 定理:令f为连续的多变量函数,g为连续的单变量函数且f值域在g定义域内,则\(g(f(x))\)在\(D\)连续
-
偏导数:在一个点处函数值随其中一个自变量的变化率,如\(\frac{\partial f}{\partial x}(x_0,y_0)=lim_{h\to 0}\frac{f(x_0+h,y_0)-f(x_0,y_0)}h\)
偏导数通常写作(以y为例):\(\frac{\partial f}{\partial y},f_y,D_yf,D_2f\)
\(f_{xy}\)表示\(f\)先对\(x\)求偏导再对\(y\)求偏导的结果,\(\frac{\partial^2w}{\partial x\partial y}\)相反
- Clairaut’s Theorem(Mixed Derivative Theorem) 混合偏导数定理:若\(f_{xy},f_{yx}\)在\((a,b)\)及其邻域内(因此\((a,b)\)不能在定义域边界)存在且连续,则\(f_{xy}(a,b)=f_{yx}(a,b)\) (这个定理疑似不太重要)
-
偏导数连续\(\Rightarrow\)可微性\(\Rightarrow\)连续性;类比单变量函数:可微性\(\Rightarrow\)连续性
双变量函数可微说的就是函数可以在该点用一个切平面近似
对于各个自变量的偏导数均存在并不意味着连续 例:这个函数\(f(x,y)=0(xy\neq0);1(xy=0)\),在\((0,0)\)各个自变量的偏导数均存在但不连续
对于双变量函数,偏导数连续指的是当点(x,y)接近(a,b)时,\(f_x,f_y\)分别接近\(f_x(a,b),f_y(a,b)\);可微性指的是\(f(a+h,b+k)\approx f(a,b)+h\cdot f_x(a,b)+k\cdot f_y(a,b)\),也就是\(lim_{(\Delta x,\Delta y)\to(0,0)}\frac{E}{\sqrt{\Delta x^2+\Delta y^2}}=0,E=\)实际值-估计值
-
判断可微性的另一个定理:\(f_x\)和\(f_y\)在\((x_0,y_0)\)及其邻域存在,且在\((x_0,y_0)\)连续
-
求导规则
-
\(z=f(x,y),x=x(t),y=y(t)\),则\(\frac{dz}{dt}=\frac{\partial z}{\partial x}\frac{dx}{dt}+\frac{\partial z}{\partial y}\frac{dy}{dt}\)
-
一般地:
-
-
用双变量函数求平面曲线斜率
\(F(x,y)=0\) 是一条平面曲线,\(\frac{dy}{dx}=-\frac{F_x}{F_y}\)
例:14.4.28
扩展到高维同理,如求\(\frac{\partial z}{\partial x}\):
-
Directional Derivative 方向导数
\(u=<u_1,u_2>,||u||=1,D_uf(x_0,y_0)=lim_{h\to0}\frac{f(x_0+hu_1,y_0+hu_2)-f(x_0,y_0)}{h}\)
令\(\nabla f=<\frac{\partial f}{\partial x},\frac{\partial f}{\partial y}>\)(Gradient Vector,梯度向量;更多变量时梯度向量的计算方式也是类似,即对每个自变量分别求偏导),则\(D_uf(x_0,y_0)=\nabla f(x_0,y_0)\cdot u\);易发现\(f,u\)同向时增长最快,反向时减少最快,垂直时无变化
各个方向的方向导数存在并不意味着可微,例:类似捏着一个点拎起的床单,在该点处不能用一个切平面近似
-
Applications & Tricks
求一个曲面到另一个平面距离最近/最远的点:是要求出曲面上切面与该平面平行的点
例:14.7.49
-
-
Level Curve 等高线
\(z=f(x,y)=k\)
\(\frac d{dt}f(x(t),y(t))=f_x\frac{dx}{dt}+f_y\frac{dy}{dt}=\nabla f\cdot \overrightarrow{r'}(t)=0\),因此等高线上一点的梯度向量永远与等高线的切线垂直(先用常识理解结论,再看式子)
-
求解切平面方程
关键:\(f(x,y,z)=k\)在\((x_0,y_0,z_0)\)处的梯度向量垂直于切平面。可以用上面的"梯度向量永远与等高线的切线"理解(三维曲面是四维空间中的一条等高线)。更严谨的证明:沿\((x_0,y_0,z_0)\)处的任何一个切向量方向,\(f(x,y,z)\)的值变化趋势都为0,由于"\(f,u\)同向时增长最快,反向时减少最快,垂直时无变化",因此\(f\)垂直于任意一个切向量,因此\(f\)垂直于切平面
因此:
例:14.6.8
使用切平面对\(z\)进行Tangent Plane Approximation(也就是线性化,Linearization): \(L(x,y)=f(x_0,y_0)+f_x(x_0,y_0)(x-x_0)+f_y(x_0,y_0)(y-y_0)\),\(E=f(x,y)-L(x,y)\)
线性化的误差的范围(公式要背):
- 双变量的情况
- 三变量的情况
例:14.6.36
-
Applications & Tricks
求两曲面交线在某一点处的切线方程:两者在要求的交点处的梯度向量的叉积即为切线方向向量
例:14.6.17
-
多变量函数的微分:
\(dz=df=f_x(x_0,y_0)dx+f_y(x_0,y_0)dy\)
例:圆柱\(V=\pi r^2h,dV=2\pi rhdr+\pi r^2dh\)
-
四种"关键位置"
-
Local(Relative) Extrema 局部极值:函数在某点的值 大于等于 或 小于等于 在其邻域内且在定义域内 的所有的函数值。注意:由于等号存在,常函数中任意一个点都是局部极值点
辅助判定方法:First Derivative Test
-
Critical Point 临界点:所有偏导数都为0或有任意一个偏导数不存在的点
局部极值点都是临界点,但反之不成立
-
Saddle Point 鞍点:是临界点但不是局部极值的点
判定方法(Second Derivative Test Theorem):
\(H=0\)时无法确定
-
Global(Absolute) Extrema 全局极值:大于等于 或者 小于等于 定义域内所有其他函数值
若 函数连续 且 定义域封闭且有界,则全局最大最小值一定存在
定义域封闭且有界情况下的全局极值求解:
- 寻找定义域内部的临界点(梯度向量为0),取最大/最小值
- 将边界(可能需要分段)用单一自变量(可能是原有的\(x,y\)等自变量,也可能引入新的自变量来表示原有自变量)参数化,对该变量求导找出其上的最大/最小值;或者用其他方法求出边界上最值
- 将以上两个结果取较大/较小值
高中管全局极值叫"最值",管局部极值叫"极值",不要搞混了
-
-
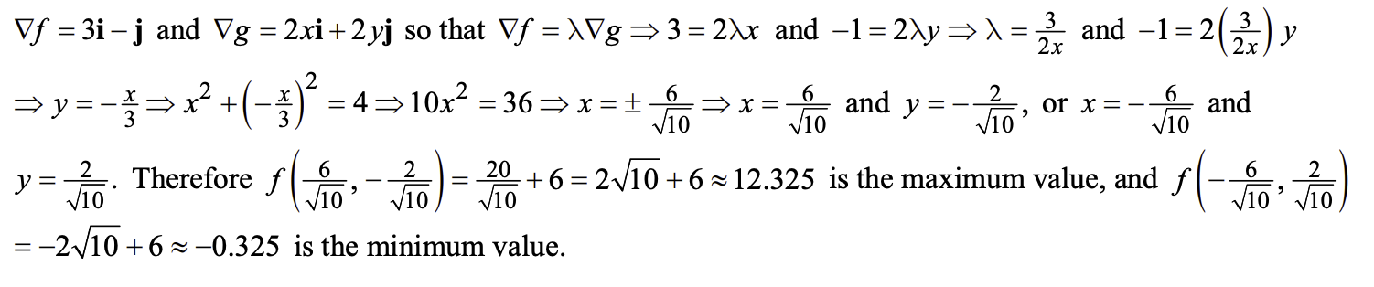
Lagrange Multiplier System 拉格朗日乘数法:一种用于寻找受约束优化问题中极值点的方法,也就是在定义域为\(g(x,y,\cdots)=k\)(这个定义域是\(f\)原定义域的一个子集)的前提下求\(f(x,y,\cdots)\)的全局极值。使用前提是原函数和约束函数均可微
比如求双变量函数定义域部分区域上的全局极值:若\(f(x,y)\)在D中可微,\(\overrightarrow r(t)\)是D中的一条曲线,且其上一点\(P_0\)处的函数值是曲线上的全局极值,则\(\nabla f(P_0)\perp {\overrightarrow r}'(t_0)\)。该结论对更多自变量的函数也相应成立。若把这条曲线用\(g(x,y)=k\)表示,则在该全局极值点处,\(\nabla f=\lambda \nabla g\)(因为两个梯度向量都垂直于\(g\)在此处的切线),其中\(\lambda\)被称为Lagrange Multiplier(可以\(=0\))。例:
若约束条件\(g\)不止一个,则限制条件下的全局极值点满足\(\nabla f\)在此处几个\(g\)的梯度向量组成的平面内(或高维平行多面体内),例:要在\(g_1(x,y,z)=g_2(x,y,z)=0\)的限制条件下找到\(f(x,y,z)\)的全局极值点,则全局极值点满足\(\nabla f=\lambda_1\nabla g_1+\lambda_2\nabla g_2\)。令变量个数为\(n\),限制个数为\(m\),则总共有\(n+m\)个方程。拉格朗日乘数法找出的点都是Critical Point
例:14.8.14
例:14.8.46
-
双变量函数的二次近似:用泰勒展开取一二次项
\(f(x,y)\approx f(x_0,y_0)+(x-x_0)f_x(x_0,y_0)+(y-y_0)f_y(x_0,y_0)+\frac12 [(x-x_0)^2f_{xx}(x_0,y_0)+2(x-x_0)(y-y_0)f_{xy}(x_0,y_0)+(y-y_0)^2f_{yy}(x_0,y_0)]\)
例:14.9.4
-
-
Functions of Several Variables 多变量函数 积分相关部分
-
双变量函数图像下的体积计算(双重积分)
-
若要求体积的区域的底部是一个矩形:
\(V=\int\int_Rf(x,y)dA=\int_c^d\int_a^bf(x,y)dx\ dy=\int_a^b\int_c^df(x,y)dy\ dx\),其中\(A\)是一个极小的矩形的面积
例:15.1.10
内外层\(x,y\)的顺序可以随意交换(Fubini's Theorem)
例:15.1.34
-
若底部的其中一维可以用另一维表示,分以下两种情况:
用含\(x\)的式子的值限制\(y\)的范围(即内层定积分上下界是用\(x\)表示的)的是Type-I,Type-II则相反
如果直接计算困难,可以交换\(x,y\)的顺序(Fubini's Theorem),如\(\int_0^1\int_x^1sin(y^2)dy\ dx\to\int_0^1\int_0^ysin(y^2)dx\ dy\)
-
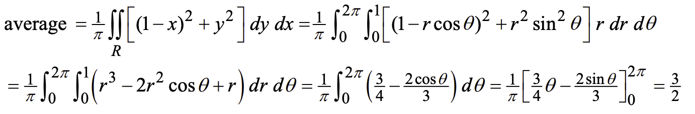
若底部是一个圆环的一部分(或是其他适合于转换成极坐标的形状),则(以圆环为例):
当\(a\leq r\leq b,\alpha\leq \theta \leq \beta,x=rcos\theta,y=rsin\theta\)时,\(V=\int\int_Df(x,y)dA=\int_{\alpha}^{\beta}\int_a^bf(rcos\theta,rsin\theta)r\ dr\ d\theta\)
理解:\(r\cdot d\theta和dr\)分别是一个极小的矩形的长和宽
记忆:积分的时候多乘一个\(r\)
若要计算体积的区域的底部用笛卡尔坐标直接表示和计算比较复杂,而其又刚好是一个圆环,则可以转换成极坐标后用这种方法计算
例:15.4.25
极坐标积分转笛卡尔坐标积分:
例:15.4.36
-
-
Cylindrical Coordinates 圆柱坐标系:\((r,\theta,z)\),其中\((r,\theta)\)是在底面上的极坐标,\(z\)是高度
当底部是适合于转换成极坐标的形状,可以用来简化三重积分的计算,具体来说:
当\(\alpha\leq\theta\leq\beta,0\leq h_1(\theta)\leq r\leq h_2(\theta),u_1(x,y)\leq z\leq u_2(x,y)\)时,\(\int\int\int_Ef(x,y,z)dV=\int\int_D(\int_{u_1(x,y)}^{u_2(x,y)}f(x,y,z)dz)dA=\int_{\alpha}^{\beta}\int_{h_1(\theta)}^{h_2(\theta)}\int_{u_1(rcos\theta,rsin\theta)}^{u_2(rcos\theta,rsin\theta)}f(rcos\theta,rsin\theta,z)dz\ r\ dr\ d\theta\)
记忆:和上面提到的用极坐标计算双重积分一样,积分的时候多乘一个\(r\)
例:15.7.14
-
关于坐标转换后计算积分需要乘上的系数:General Change of Variable Formula 变量变换公式
若\(x=g(u,v),y=h(u,v)\),则\(\int\int_Df(x,y)dA=\int\int_Rf(g(u,v),h(u,v))|J(u,v)|du\ dv\),其中\(J(u,v)=\begin{vmatrix}\frac{\partial x}{\partial u}&\frac{\partial x}{\partial v}\\\frac{\partial y}{\partial u}&\frac{\partial y}{\partial v}\end{vmatrix}\)
该结论可以推广至更多变量的情况
变量转换后定积分上下界的确定:把原区域的边界线用新变量表示
例:15.8.14
-
-
Spherical Coordinates 球坐标系:\((\rho,\phi,\theta)\),其中\(\rho\)是到原点的距离,\(\phi\)是与\(z\)轴正方向的夹角,\(\theta\)是与\(x\)轴正方向的夹角(\(\rho\geq0,0\leq\phi\leq\pi,0\leq\theta\leq2\pi\))
由图知\(z=\rho cos\phi,r=\rho sin\phi,x=\rho sin\phi cos\theta,y=\rho sin\phi sin\theta\)
\(J(\rho,\phi,\theta)=\rho^2sin\phi\),可以背下来简化计算
一般来说球坐标系的积分从内层到外层依次为\(d\rho,d\phi,d\theta\)
例:15.7.37
-
-
Line Integrals (and Surface Integrals) 线积分(和面积分):
线积分:\(\int_Cf(x,y,z)ds=lim_{||P||\to0}\sum_{k=1}^nf(x_k,y_k,z_k)\Delta s_k\)
可以用来解类似这样的问题:空间中有一段绳子,每个部分有不同的密度,求绳子的总质量
-
求法:\(\int_Cf(x,y,z)ds=\int_a^bf(r(t))||r'(t)||dt\)
还是很好理解的
-
Vector Field 向量场:是一个形如\(D\to\mathbb R^n\)的函数\(F\),它为\(D\)中的每个点都分配了一个向量
动机:粒子在空间中特定的一些位置受到拉力\(F\),问沿轨迹\(C\)运动过程中,\(F\)做功多少?
向量场的线积分:\(\int_C F\cdot Tds=\int_a^bF(r(t))\cdot r'(t)dt\),其中\(T\)是每个位置的单位切向量
-
Applications & Tricks
对某一个维度求积分,其实就是把上面的内积拆开并对某一个维度单独求
例:16.2.14
求做功多少
例:16.2.22
有时写作\(\int_CF\cdot dr\),其中\(dr\)是一个极小的向量
注意以上几行中的"\(\cdot\)"均表示向量内积
-
-
Flow Integral 流积分:当\(F\)是一个流体的速度向量场时,其线积分被称为流积分
若其积分轨迹\(C\)首尾相接,可以写为\(\oint F\cdot Tds\),这个积分被称为环流(Circulation)
-
Flux 通量
若\(C\)是一条首尾相接的 简单曲线(Simple Curve,不与自身相交的曲线),其在每一点处的外单位法向量(\(C\)的边界上指向图形外侧的单位法向量)表示为\(n\),则其外向通量(Outward Flux)是积分\(\int_CF\cdot n\ ds\)
这门课中我们提到通量时,指的是外向通量
外向通量的计算:
首先,将本问题涉及的所有向量都放到三维空间中(是为了方便计算\(n\)),这一步对结果没有影响
其次,由下图知\(cn=T\times k(C为逆时针);cn=k\times T(C为顺时针)\),其中\(k=<0,0,1>,c\)是正常数
经计算,逆时针时\(n=<\frac{dy}{ds},-\frac{dx}{ds},0>\),顺时针时\(n=<-\frac{dy}{ds},\frac{dx}{ds},0>\)
若设\(F=<M,N,0>\),则在逆时针时有\(\int_cF\cdot n\ ds=\oint(M\ dy-N\ dx)\),顺时针时相反
最终公式:Flux\(=\int_a^b F\cdot n||r'(t)||dt\),含有\(||r'(t)||\)是因为把之前的\(ds\)替换成了\(dt\)
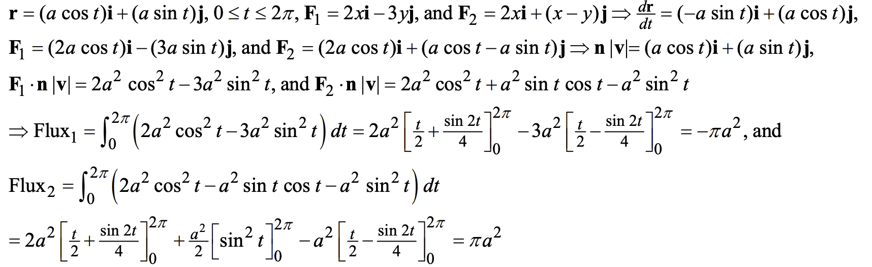
例:16.2.30
-
Conservative Field 保守场:任意线积分的值与路径无关,只与起终点有关的向量场。例:垂直向下的重力场
一个向量场\(F\)是保守场当且仅当\(\forall C,\oint F\cdot dr=0\),其中\(dr=T\ ds\)
-
若向量场\(F=\nabla f\),则\(f\)称为\(F\)的一个势能函数(Potential Function)
这个起名也很好理解
例:16.3.10
Find potential function for F
-
若向量场\(F\)的各个分量在一个连续的定义域\(D\)上连续,则\(F\)是保守场当且仅当其是一个梯度场(即\(\exist f\ s.t.\ F=\nabla f\))
-
Fundamental Theorem of Line Integrals
若\(f\)是一个定义域包含轨迹\(C\)的函数,且其梯度向量\(\nabla f\)在一个包含\(C\)的区域内连续,则\(\int_C\nabla f\cdot dr=f(B)-f(A)\)
因此,"Any continuous gradient field is conservative"
-
Simply Connected Region 简单连通区域:若在一个平面上的连通区域\(D\)满足其中任意一条首尾相接的简单曲线都只包住\(D\)内部的点,则称\(D\)为简单连通区域
-
Component Test for Conservative Fields 保守场的分量测试
令\(F\)是简单连通区域\(D\)上的一个向量场,令其为\(<M(x,y),N(x,y)>\),则其为保守场当且仅当\(\frac{\partial M}{\partial y}=\frac{\partial N}{\partial x}\)
注意:若定义域不是简单连通区域,就算满足这个测试,也不一定是保守场
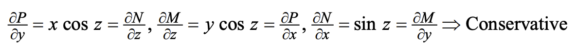
在更高维的空间中同样有这个测试,如在三维空间中,\(F=<M,N,P>\),测试通过的条件为\(\frac{\partial P}{\partial y}=\frac{\partial N}{\partial z},\frac{\partial M}{\partial z}=\frac{\partial P}{\partial x},\frac{\partial N}{\partial x}=\frac{\partial M}{\partial y}\)
例:16.3.2
-
Green's Theorem 格林定理
令\(C\)为一个简单闭合曲线,\(R\)为其围出的区域,\(M,N\)为定义在平面上的函数且其所有偏导数连续,向量场\(F=<M,N>\),则对于\(C\)为正定向(也就是所谓"内部区域"在其左侧,这种情况下是沿逆时针方向走)的情况下的环流,有:
\[\int_CF\cdot T\ ds=\int\int_R(\frac{\partial N}{\partial x}-\frac{\partial M}{\partial y})dA \]若\(C\)为负定向则相反
同时,对于\(C\)的(外向)通量,有:
\[\int_CF\cdot n\ ds=\int\int_R (\frac{\partial M}{\partial x}+\frac{\partial N}{\partial y})dA \]有点抽象!!
理解:
-
环流的格林定理(以轨迹逆时针为例)
现断言:若\(dA\)为一个极小的矩形(其长宽分别为\(dx,dy\)),则\((\frac{\partial N}{\partial x}-\frac{\partial M}{\partial y})dA\)为这个矩形边界上的环流
注意到,若将区域\(R\)分割成若干极小的矩形,则这些矩形边界上的环流之和是\(R\)边界上(即\(C\))的环流,因为两个矩形相邻边界上的环流会相互抵消
断言的证明(可以画图辅助理解):令一个极小矩形左下角的坐标为\((x_0,y_0),N_0=N(x_0,y_0)\)。回顾:一段极短的直线的流量是\(F\cdot T\ ds\)。则矩形左侧竖边流量\(C_l=N_0dy\),右侧竖边流量\(C_r=(N_0+\frac{\partial N}{\partial x}dx)dy\),注意这两个流量均以\(y\)轴正方向为正方向;由于轨迹逆时针,两条竖边对环流的总增量为\(C_r-C_l=\frac{\partial N}{\partial x}dxdy=\frac{\partial N}{\partial x}dA\)。类似地,两条横边对环流的总增量为\(-\frac{\partial M}{\partial y}dA\)。相加即得原式
-
通量的格林定理
现断言:\((\frac{\partial M}{\partial x}+\frac{\partial N}{\partial y})dA\)为这个矩形的(外向)通量
注意到,若将区域\(R\)分割成若干极小的矩形,则这些矩形的通量之和是\(C\)的通量,因为两个矩形相邻边界上产生的通量会相互抵消
断言的证明:令一个极小矩形左下角的坐标为\((x_0,y_0),N_0=N(x_0,y_0)\)。回顾:一段极短的直线产生的(外向)通量是\(F\cdot n\ ds\)。则矩形下方横边通量\(F_b=-N_0dy\),上方横边通量\(F_u=(N_0+\frac{\partial N}{\partial y}dx)dy\),对通量总增量为\(F_b+F_u=\frac{\partial N}{\partial y}dxdy=\frac{\partial N}{\partial y}dA\)。类似地,两条竖边对通量的总增量为\(\frac{\partial M}{\partial x}dA\)。相加即得原式
若\(R\)是连通区域但并非简单连通,如下图:
此时正定向闭合曲线\(C_2\)的方向是顺时针,而\(C_1\)是逆时针
因此对于这种类型的\(R\),仍然有\(\int\int_R(\frac{\partial N}{\partial x}-\frac{\partial M}{\partial y})dA=\oint F\cdot T\ ds\)
对于这种类型的\(R\),通量的格林定理也有类似的通用公式,只不过为了使公式成立,需要把\(R\)中每个"洞"的边界的外单位法向量(\(n\))定义为指向洞的内部
例:16.4.8
-
-
Parametric Surfaces 参数曲面
\(r(u,v)=<x(u,v),y(u,v),z(u,v)>,(u,v)\in\mathbb R^2\)
例:16.5.6
参数化以下曲面
-
参数曲面在某点的切面
令\(P_0=r(u_0,v_0)\),\(r_v=<(\frac{\partial x}{\partial v})(u_0,v_0),(\frac{\partial y}{\partial v})(u_0,v_0),(\frac{\partial z}{\partial v})(u_0,v_0)>,r_u=<(\frac{\partial x}{\partial u})(u_0,v_0),(\frac{\partial y}{\partial u})(u_0,v_0),(\frac{\partial z}{\partial u})(u_0,v_0)>\),则\(r_v,r_u\)是曲面在\(P_0\)的两个切向量(想象一下:\(r(u,v)\)是三维空间中被摆放成一定形状的一块布,将\(u=u_0,v=v_0\)两条线在这块布上描出来,则表现为布上被画了两条交叉的曲线;在这两条曲线的交点处,\(r_u,r_v\)分别是沿这两条曲线方向的切向量),\(r_v\times r_u\)是切面的一个法向量,可以根据法向量求出切面
-
参数曲面的面积
回顾:两向量叉积的绝对值是其围成平行四边形的面积
因此,\(S=\int\int_R |r_u\times r_v|du\ dv\),其中\(R\)是要统计面积的\(u,v\)的范围
-
-
Surface Integrals 面积分
令曲面在一点处的面密度为\(g(x,y,z)\),则曲面总质量为\(\int\int_R g(r(u,v))|r_u\times r_v|du\ dv\);若曲面以\(z=f(x,y)\)形式给出,则曲面总质量为\(\int\int_Rg(x,y,f(x,y))\sqrt{f_x^2+f_y^2+1}\ dx\ dy\)(可以先参数化然后用公式推出\(\to r_x\times r_y=<-f_x,-f_y,1>\))
-
Orientable Surfaces 可定向曲面:有两个面的曲面
比如莫比乌斯环就只有一个面,不是可定向曲面
本课程只考虑可定向曲面
-
通量的面积分
令流体速度场为\(v(x,y,z)\),则通过可定向曲面的通量积分为\(\int\int_S vn\ d\sigma\),其中\(n\)为曲面在某一点的单位法向量,\(n=\pm \frac{r_u\times r_v}{||r_u\times r_v||}\)
-
向量场的旋度(Curl)
对于向量场\(F=<M,N,P>\),其旋度为\(curl\ F=<\frac{\partial P}{\partial y}-\frac{\partial N}{\partial z},\frac{\partial M}{\partial z}-\frac{\partial P}{\partial x},\frac{\partial N}{\partial x}-\frac{\partial M}{\partial y}>\),衡量向量场在某点的旋转趋势
表示方法:\(curl\ F=\nabla\times F\),其中\(\nabla=<\frac{\partial}{\partial x},\frac{\partial}{\partial y},\frac{\partial}{\partial z}>\),这个叉积表示方法可以简化向量场的计算并方便记忆
理解:
- 令\(curl\ F=<A,B,C>\),当\(A>0\)时,将右手大拇指指向\(x\)轴正方向,则四指方向是该点向量场在垂直于\(x\)轴平面内旋转趋势的方向(右手定则);当\(A<0\)时则相应地将右手大拇指指向\(x\)轴负方向得出。对于\(y,z\)方向,也是类似地判断。注意,此时\(xyz\)轴之间的位置关系也符合右手定则,见前文"3D Space"
- 另一种理解方式:将一个极小的球体放在一个流体的速度向量场\(F\)中,球体会因为摩擦力/粘滞力什么的而开始旋转,其旋转的正轴方向即旋度的方向,旋度大小则衡旋转的速度。正轴方向和旋转方向的关系用右手定则判断,即拇指方向为正轴的方向,四指方向为旋转的方向
任意点旋度都为0的向量场是无旋(Irrotational)的;在简单连通区域上,无旋向量场与保守向量场等价
-
Stoke's Theorem
对于有向曲面\(S\)和其边界\(C\),\(\oint_CF\cdot dr=\int\int_S(\nabla\times F)\cdot n\ d\sigma\),其中\(n\)是一点垂直于曲面的单位法向量,\(C,n\)的方向关系满足右手定则,即拇指方向为\(n\)的方向,四指方向为\(C\)的正方向
格林定理的环流形式是该定理在平面上的一个特殊情况
该定理的理解:类似格林定理,将曲面分成很多小的部分,计算环流总和,其中相邻的部分会互相抵消。点乘单位法向量是为了只留下向量场中与曲面垂直的分量
-
Component Test for 3D Conservative Fields 3D保守场的分量测试
三维空间中的一个向量场\(<M,N,P>\)在一个简单连通区域中是保守场当且仅当\(P_y=N_z,M_z=P_x,N_x=M_y\)
-
Divergence 向量场的散度:衡量向量场某一点处"源"或"汇"强度的一个标量
\(div(F)=\nabla\cdot F\)。三维情况下,\(div(F)=\frac{\partial M}{\partial x}+\frac{\partial N}{\partial y}+\frac{\partial P}{\partial z}\),若其为正,则说明向量场中这个点是一个"源",也就是它无中生有了一些流量;为负则相反
-
Divergence Theorem 散度定理
简单来说就是若有一个由曲面\(S\)围成的实心空间(Solid)\(E\),则\(S\)的外向通量\(\int\int_SF\cdot n\ d\sigma=\int\int\int_Ediv(F)dV\),还挺好理解的。具体限制见下图
若该空间是由若干个光滑的曲面围成,也满足Divergence Theorem
-
-

浙公网安备 33010602011771号