4.12趣味百题第四题
一 问题描述
一辆卡车违反交通规则,撞人后逃跑。现场有三人目击该事件,但都没有记住车号。只几下车号的特征。1.牌照前两位数字相同。2.后两位数字相同且不同于前两位数字。3.这四位数刚好是一个整数的平方。
二 设计思路
1.前两位数字0<=a=b<=9;
2.后两位数字0<=c=d<=9,且a!=c
3.1000*a+100*b+10*c+d=x*x x为一个整数
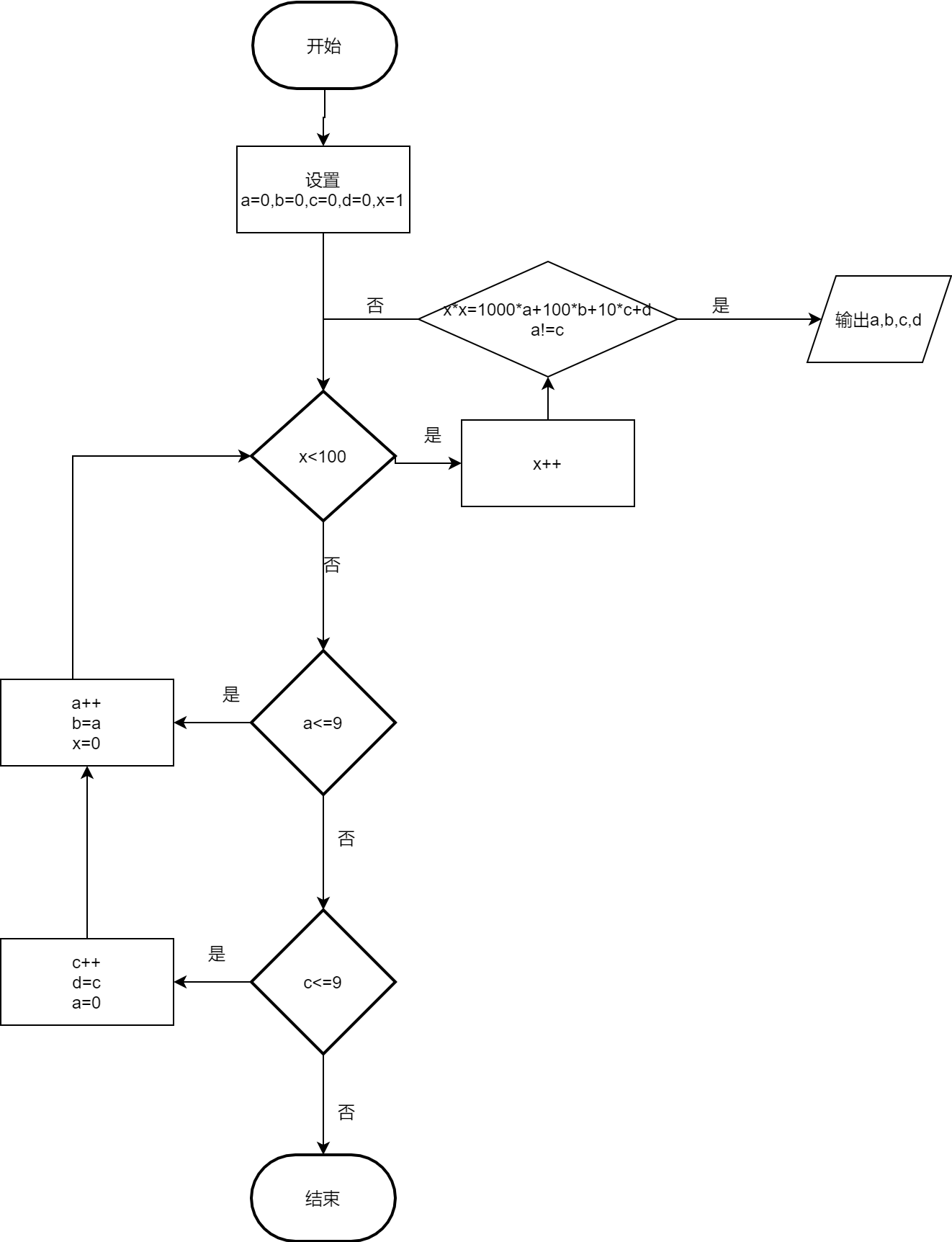
三 流程图
四 伪代码
定义 a b c d x
for(a=0;a<=9;a++){
b=a;
for(c=0;c<=9;c++){
d=c
for(x=0;x<1000;x++){
if(x*x==1000*a+100*b+10*c+d)&&a!=c
输出车号abcd
}}}
五 c语言代码实现
#include<iostream>
using namespace std;
int main()
{
int a,b,c,d,x,n=0;//abcd对应四号位置
for(a=0;a<=9;a++){
b=a;
for(c=0;c<=9;c++){
d=c;
for(x=1;x<1000;x++){
if((x*x==1000*a+100*b+10*c+d)&&a!=c)
{n++;
cout<<"情况"<<n<<endl;
cout<<"车牌号"<<a<<b<<c<<d<<endl;
}
}
}
}
return 0;
}
浙公网安备 33010602011771号