对称二叉树
问题 F: 对称二叉树
时间限制: 1.000 Sec 内存限制: 256 MB
题目描述
一棵有点权的有根树如果满足以下条件,则被轩轩称为对称二叉树:
1. 二叉树;
2. 将这棵树所有节点的左右子树交换,新树和原树对应位置的结构相同且点权相等。
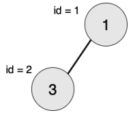
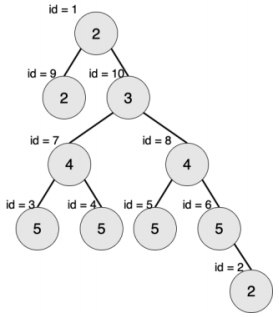
下图中节点内的数字为权值,节点外的 id 表示节点编号。

现在给出一棵二叉树,希望你找出它的一棵子树,该子树为对称二叉树,且节点数最多。请输出这棵子树的节点数。
注意:只有树根的树也是对称二叉树。 本题中约定, 以节点 T 为子树根的一棵 “子树”指的是:节点 T 和它的全部后代节点构成的二叉树。
1. 二叉树;
2. 将这棵树所有节点的左右子树交换,新树和原树对应位置的结构相同且点权相等。
下图中节点内的数字为权值,节点外的 id 表示节点编号。

现在给出一棵二叉树,希望你找出它的一棵子树,该子树为对称二叉树,且节点数最多。请输出这棵子树的节点数。
注意:只有树根的树也是对称二叉树。 本题中约定, 以节点 T 为子树根的一棵 “子树”指的是:节点 T 和它的全部后代节点构成的二叉树。
输入
第一行一个正整数 n,表示给定的树的节点的数目,规定节点编号 1 .. n,其中节点 1 是树根。
第二行 n 个正整数,用一个空格分隔,第 i 个正整数 v_i代表节点 i 的权值。
接下来 n 行,每行两个正整数 l_i, r_i,分别表示节点 i 的左右孩子的编号。如果不存在左 / 右孩子,则以 -1 表示。两个数之间用一个空格隔开。
输出
共一行,包含一个整数,表示给定的树的最大对称二叉子树的节点数。
提示
【输入输出样例 1 说明】

最大的对称二叉子树为以节点 2 为树根的子树,节点数为 1。
【输入输出样例 2 说明】


最大的对称二叉子树为以节点 2 为树根的子树,节点数为 1。
【输入输出样例 2 说明】

最大的对称二叉子树为以节点 7 为树根的子树,节点数为 3。
【数据规模与约定】
共 25 个测试点。
v_i ≤ 1000。
测试点 1 .. 3, n ≤ 10,保证根结点的左子树的所有节点都没有右孩子,根结点的右 子树的所有节点都没有左孩子。
测试点 4 .. 8, n ≤ 10。
测试点 9 .. 12, n ≤ 10^5,保证输入是一棵“满二叉树” 。
测试点 13 .. 16, n ≤ 10^5,保证输入是一棵“完全二叉树”。
测试点 17 .. 20, n ≤ 10^5,保证输入的树的点权均为 1。
测试点 21 .. 25, n ≤ 10^6。
本题约定:
层次:节点的层次从根开始定义起,根为第一层,根的孩子为第二层。树中任一节 点的层次等于其父亲节点的层次加 1。
树的深度:树中节点的最大层次称为树的深度。
满二叉树:设二叉树的深度为 h,且二叉树有 2h-1 个节点,这就是满二叉树。
完全二叉树:设二叉树的深度为 h,除第 h 层外,其它各层的结点数都达到最大个数,第 h 层所有的结点都连续集中在最左边,这就是完全二叉树。
代码:
#include<bits/stdc++.h> using namespace std; const int maxn = 1e7; int n; int v[maxn],l[maxn],r[maxn]; int ans ; int is ; void f(int x,int y){ if(x == -1 && y == -1){ return ; } if(x == -1 || y == -1 || v[x] != v[y]){ is = 0; return ; } f(l[x],r[y]); f(r[x],l[y]); } int cnt(int x){ int k=1; if(l[x] != -1 ){ k += cnt(l[x]); } if(r[x] != -1 ){ k += cnt(r[x]); } return k; } int main(){ scanf("%d",&n); for(int i=1;i<=n;i++){ scanf("%d",&v[i]); } for(int i=1;i<=n;i++){ scanf("%d%d",&l[i],&r[i]);} for(int i=1;i<=n;i++){ is = 1; f(l[i],r[i]); if(is){ ans = max(ans,cnt(i)); } } cout<<ans<<endl; return 0; }

浙公网安备 33010602011771号