P7824 「RdOI R3」毒水 题解
\(1\) 分的思路就不多说了,我们从 \(10\) 分开始看起。
初步思考——为啥刚好是 \(3\) 倍?
不难发现所给的 \(maxk\) 刚好是 \(n\) 的 \(3\) 倍,考虑每瓶水给 \(3\) 只老鼠喝,则每瓶水对应的 \(3\) 只老鼠有以下状态:
111,000,100,110。
对前两种来讲显然是没有变异鼠的,因为变异鼠肯定都是后两种——别人死,他活;别人活,他死。
所以我们可以知道:如果对于 \(1\) 瓶水有 \(2\) 个及以上的老鼠死了,那这瓶水就是有毒的。
初步优化——二进制的妙用
通过惊人的注意力可以发现 \(3\log_2 1000 \approx 30\),诶这不刚好就是接下来的 \(30\) 分吗,啥东西有 \(\log_2\) 复杂度呢?二进制啊!
考虑每 \(3\) 只老鼠为一组,每组的编号为 \(i\)。让第 \(i\) 组去负责每瓶水中编号二进制第 \(i\) 位为 \(1\) 的水。
这样由每组死亡数大于等于 \(2\) 的就能确定:毒水对应编号的第 \(i\) 位一定是 \(1\),最后可以组合出来所求毒水编号。
深层优化——再来一层二进制
我不知道子任务 4 的部分分怎么打。
可以发现老鼠用的还是太多了,考虑一开始只用每组一只老鼠去喝水。
然后再以类似的思路,去对每组进行二进制拆分,但每只老鼠喝水的编号应该变成其负责的老鼠喝水编号的异或和。
设第 \(i\) 只老鼠负责的水瓶编号是 \(m[i]\),负责的老鼠编号是 \(b[i]\),则上述计算可表述为
最后再找一个老鼠把验证每组的老鼠同理验证一下。
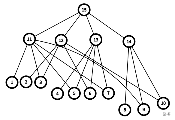
以 \(1000\) 瓶水为例:

老鼠们之间的关系就长这样,是近似的一棵树。
定义鼠上鼠为非叶子结点的老鼠。
那么可以分为两种情况:
变异鼠在鼠上鼠里
一定且仅此时有:鼠上鼠的总死亡数为奇数。
证明:由于根结点是其他所有鼠上鼠的异或和,所以所有鼠上鼠喝的水肯定都被喝了偶数次,毒水肯定也只能毒死偶数只。但是变异鼠混了进来,要么变异鼠没喝到毒水死了,死亡数 \(+1\),是奇数;要么变异鼠喝到毒水,死亡数 \(-1\),也是奇数。
那么只要根据普通老鼠的死亡情况来推测即可。(做法同上 \(30\) 分做法,拼凑即可)。
变异鼠在普通鼠里
此时,对于有变异鼠的那个子树(不包含根结点),死亡数一定是奇数。证明也是同上的,要么死亡数 \(-1\),要么死亡数 \(+1\),都是奇数。
那我们只需要一个个看根结点以外的鼠上鼠和他下面的老鼠,如果这个鼠上鼠的子树内死亡数为奇数,就可以知道变异鼠编号的对应二进制位上此位为 \(1\)。把所有的累计起来,就能得到变异鼠编号。
最后把变异鼠的死亡状态反过来,跑一遍上种情况的代码即可。
代码实现
#include <iostream>
#include <cstdio>
#include <cmath>
#include <vector>
using namespace std;
#define N 1010
int n, maxk, r[N];
int t1, t2;
// t1为普通老鼠的数量,t2为鼠上鼠的数量-1(因为不包含根结点)
int cnt[N], cntt[N];
vector<int> mouse[N];
int main()
{
scanf("%d%d", &n, &maxk);
if (n == 1)
{
putchar('2'), putchar('\n');
fflush(stdout);
putchar('1');
return 0;
}
if (n == 2)
{
printf("1 1 1\n2\n");
fflush(stdout);
int res;
scanf("%d", &res);
printf("%d", 2 - res);
return 0;
}
t1 = ceil(log2(n)), t2 = ceil(log2(t1));
for (int i = 0; i < t1; ++i)
{
putchar('1'), putchar(' ');
for (int j = 0; j < n; ++j)
if ((j >> i) & 1)
mouse[i].emplace_back(j + 1);
printf("%d ", mouse[i].size());
for (auto x : mouse[i])
printf("%d ", x);
putchar('\n');
}
for (int i = t1; i < t1 + t2; ++i)
{
for (int j = 1; j <= n; ++j)
cnt[j] = 0;
putchar('1'), putchar(' ');
for (int j = 0; j < t1; ++j)
if ((j >> (i - t1)) & 1)
for (auto x : mouse[j])
++cnt[x];//模拟异或,下面同理
for (int j = 1; j <= n; ++j)
if (cnt[j] & 1)
mouse[i].emplace_back(j);
printf("%d ", mouse[i].size());
for (auto x : mouse[i])
++cntt[x], printf("%d ", x);
putchar('\n');
}
putchar('1'), putchar(' ');
for (int i = 1; i <= n; ++i)
if (cntt[i] & 1)
mouse[t1 + t2].emplace_back(i);
printf("%d ", mouse[t1 + t2].size());
for (auto x : mouse[t1 + t2])
printf("%d ", x);
putchar('\n'), putchar('2'), putchar('\n');
fflush(stdout);
for (int i = 0; i <= t1 + t2; ++i)
scanf("%d", &r[i]), r[i] ^= 1;
int flag = 0;
for (int i = t1; i <= t1 + t2; ++i)
flag ^= r[i];
int ans = 0;
if (!flag)
{
int super_mouse = 0;
for (int i = t1; i < t1 + t2; ++i)
{
flag = r[i];
for (int j = 0; j < t1; ++j)
if ((j >> (i - t1)) & 1)
flag ^= r[j];
if (flag)
super_mouse ^= 1 << (i - t1);
}
r[super_mouse] ^= 1;
}
for (int i = 0; i < t1; ++i)
if (r[i])
ans ^= 1 << i;
printf("%d\n", ans + 1);
return 0;
}

浙公网安备 33010602011771号