软工作业2_个人项目
作业概述
一、github 作业链接
https://github.com/macyava/EssayPlagiarism/blob/main/3221007081
二、PSP 表格
PSP2.1 |
Personal Software Process Stages |
预估耗时(分钟) |
实际耗时(分钟) |
|---|---|---|---|
| Planning | 计划 | 20 | 30 |
| ·Estimate | 估计这个任务需要多少时间 | 300 | 300 |
| Development | 开发 | 120 | 120 |
| ·Analysis | ·需求分析(包括学习新技术) | 20 | 30 |
| ·Design Sepc | ·生成设计文档 | 10 | 15 |
| ·Design Review | ·设计复审 | 20 | 25 |
| ·Coding Standard | ·代码规范(为目前的开发制定 合适的规范) | 30 | 35 |
| ·Design | ·具体设计 | 20 | 25 |
| ·Coding | ·具体编码 | 30 | 35 |
| ·Coding Review | ·代码复审 | 40 | 45 |
| ·Test | ·测试(自我测试,修改代码,提交修改) | 50 | 60 |
| Reporting | 报告 | 30 | 40 |
| ·Test Report | ·测试报告 | 30 | 20 |
| ·Size Measurement | ·计算工作量 | 20 | 25 |
| ·Postmortem & Process Improvement Plan | ·事后总结,并提出进程修改计划 | 30 | 35 |
| ·合计 | 800 | 840 |
三、计算模块接口的设计与实现过程
1. 接口的设计及关系
类
| main | 主程序类 |
|---|---|
函数
| 函数名 | 作用 | 归属的类 |
|---|---|---|
2. 关键函数流程图

3. 算法的关键及独到之处
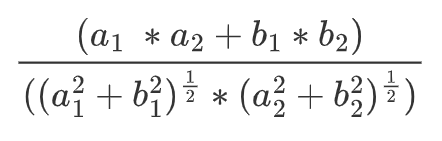
引用糊涂工具包的TokenizerEngine,通过hankc作分词处理,遍历词,构建词频树,最后计算查重率:cos值。
查重率cos值具体计算公式如下:
![]()
四、计算模块接口部分的性能改进
1. 改进计算模块性能的耗时记录
40mins
2. 描述改进思路
通过各种工具或手段,初步定位性能瓶颈点,通过各种工具或手段,初步定位性能瓶颈点,具体性能优化为getSimHash函数。
3. 性能分析(VS2017/JProfiler)
3.1 性能分析图

3.2 方法调用情况

4. 耗时最大的函数展示

此函数由于调用了HanLP,因此耗时最大。
public static String getSimHash(String str) {
// 用数组表示特征向量,取128位,从 0 1 2 位开始表示从高位到低位
int[] v = new int[128];
// 1、分词
List<String> keywordList = HanLP.extractKeyword(str, str.length());//取出所有关键词
// hash
int size = keywordList.size();
int i = 0;//以i做外层循环
for (String keyword : keywordList) {
// 2、获取hash值
StringBuilder keywordHash = new StringBuilder(getHash(keyword));
if (keywordHash.length() < 128) {
int dif = 128 - keywordHash.length();
for (int j = 0; j < dif; j++) {
keywordHash.append("0");
}
}
// 3、加权、合并
for (int j = 0; j < v.length; j++) {
if (keywordHash.charAt(j) == '1') {
v[j] +=1;
} else {
v[j] -= 1;
}
}
i++;
}
五、计算模块部分单元测试展示
1. 测试函数的说明
// 核心类测试
class SimHashUtilTest {
@Test
void getHash() {
System.out.println(SimHashUtil.getHash("213123"));
}
@Test
void getSimHash() {
System.out.println(SimHashUtil.getSimHash("124123123"));
}
@Test
void getHammingDistance() {
}
@Test
void getSimilarity() {
String simHash1 = SimHashUtil.getSimHash("hasdoihasiodhoiasd");
String simHash2 = SimHashUtil.getSimHash("hasdoihasiodhoiasd");
System.out.println(SimHashUtil.getSimilarity(simHash1,simHash2));
}
}
2. 测试数据的思路构建
功能测试的测试思路:测试每个部分的功能是否能达到预期结果
2.1 模块接口测试:后台的数据集成在测试框架中,检查测试代码块之间的接口, 和数据的传输等问题。
2.2 执行测试用例:利用下发的测试用例,执行用例将所有需求跑一遍,确认测试需求是否有功能点遗漏,查漏补缺。
3. 单元测试覆盖率(截图)



4. 测试自动化
进入代码运行直接出结果在ans.txt中
六、计算模块部分异常处理说明
1. 异常设计目标的介绍
设计目标:为防止文本长度不满足要求而设置的规范长度异常
对应场景:当读取的文本内容少于300字符时将抛出。
2. 异常单元测试样例与检错

七、查重结果

浙公网安备 33010602011771号