8-推荐算法1
一:推荐算法的构建流程
- Data(数据)
- Features(特征)
- ML Algorithm(机器学习算法)
- Prediction Output(预测输出)
二:最经典的推荐算法
算法思想:物以类聚,人以群分
-
“跟你喜好相似的人喜欢的东西你也很有可能喜欢” :基于用户的协同过滤推荐(User-based CF)
-
“跟你喜欢的东西相似的东西你也很有可能喜欢 ”:基于物品的协同过滤推荐(Item-based CF)
实现协同过滤推荐有以下几个步骤:
-
找出最相似的人或物品:TOP-N相似的人或物品
通过计算两两的相似度来进行排序,即可找出TOP-N相似的人或物品
-
根据相似的人或物品产生推荐结果
利用TOP-N结果生成初始推荐结果,然后过滤掉用户已经有过记录的物品或明确表示不感兴趣的物品
以下是一个简单的示例,数据集相当于一个用户对物品的购买记录表:打勾表示用户对物品的有购买记录
-
关于相似度计算这里先用一个简单的思想:如有两个同学X和Y,X同学爱好[足球、篮球、乒乓球],Y同学爱好[网球、足球、篮球、羽毛球],可见他们的共同爱好有2个,那么他们的相似度可以用:2/3 * 2/4 = 1/3 ≈ 0.33 来表示
三:相似度的计算方法
-
欧氏距离, 是一个欧式空间下度量距离的方法. 两个物体, 都在同一个空间下表示为两个点, 假如叫做p,q, 分别都是n个坐标,
- 是一个欧式空间下度量距离的方法. 两个物体, 都在同一个空间下表示为两个点, 假如叫做p,q, 分别都是n个坐标,
![]()
-
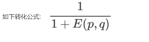
欧氏距离的值是一个非负数, 最大值正无穷, 通常计算相似度的结果希望是[-1,1]或[0,1]之间,一般可以使用
![]()
- 余弦相似度
- 两个向量的夹角为0是,余弦值为1, 当夹角为90度是余弦值为0,为180度是余弦值为-1
- 余弦相似度在度量文本相似度, 用户相似度 物品相似度的时候较为常用
- 余弦相似度的特点, 与向量长度无关,余弦相似度计算要对向量长度归一化, 两个向量只要方向一致,无论程度强弱, 都可以视为'相似'
- 皮尔逊相关系数Pearson
- 皮尔逊相似度计算结果在-1,1之间 -1表示负相关, 1表示正相关
- 度量两个变量是不是同增同减
- 皮尔逊相关系数度量的是两个变量的变化趋势是否一致,
- 杰卡德相似度 Jaccard
- 分子是两个布尔向量做点积计算, 得到的就是交集元素的个数
- 分母是两个布尔向量做或运算, 再求元素和


浙公网安备 33010602011771号